Полиимиды
Основные свойства полиимида:
Структурная формула ПИ полученного сочетанием процессов поликонденсации с последующей полимеризацией по реакционноспособным двойным ил
Кристаллическая структура ПИ
ПРИМЕНЕНИЕ АРОМАТИЧЕСКИХ ПИ
813.16K
Категория: ХимияХимия

Основные свойства полиимида

1. Полиимиды

ПОЛИИМИД
Ы

2. Основные свойства полиимида:

ОСНОВНЫЕ СВОЙСТВА ПОЛИИМИДА:
химическая стойкость
термическая стабильность
лучшие механические свойства
высокая прочность при растяжении
при армировании стекловолокном получают
композитные материалы
устойчивы к слабым кислотам, но не стоит их
использовать в щелочной среде
удельная теплоёмкость, составляющая до 300
градусов Цельсия

3.

4. Структурная формула ПИ полученного сочетанием процессов поликонденсации с последующей полимеризацией по реакционноспособным двойным ил

СТРУКТУРНАЯ ФОРМУЛА ПИ ПОЛУЧЕННОГО
СОЧЕТАНИЕМ
ПРОЦЕССОВ ПОЛИКОНДЕНСАЦИИ С ПОСЛЕДУЮЩЕЙ
ПОЛИМЕРИЗАЦИЕЙ ПО РЕАКЦИОННОСПОСОБНЫМ ДВОЙНЫМ
ИЛИ ТРОЙНЫМ СВЯЗЯМ

5.

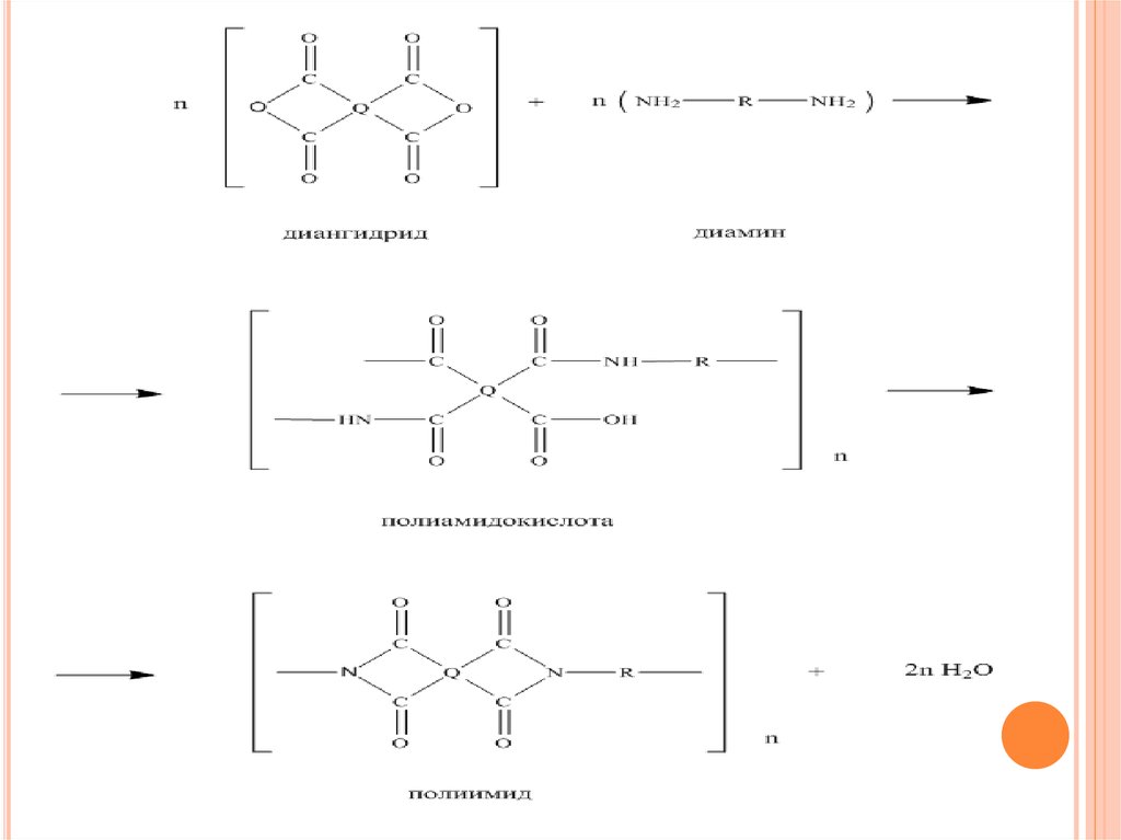
Взаимодействие диангидридов
тетракарбоновых кислот с различными
диизоционатами в полярных растворителях

6.

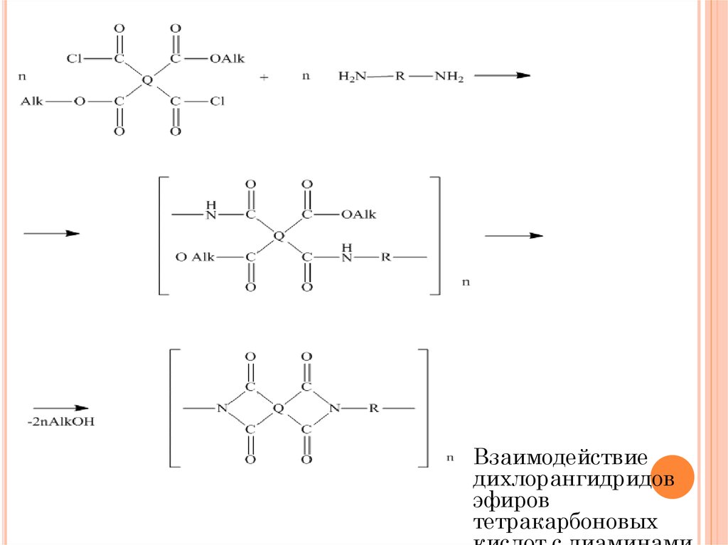
Взаимодействие
дихлорангидридов
эфиров
тетракарбоновых

7. Кристаллическая структура ПИ

КРИСТАЛЛИЧЕСКАЯ СТРУКТУРА ПИ

8.

9.

10.

11. ПРИМЕНЕНИЕ АРОМАТИЧЕСКИХ ПИ

English     Русский Правила