Колебания концентрации Са2+
Механизмы поддержания концентрации Са2+
Другие типы Са2+ колебаний
Модель двух емкостей
Анализ с помощью нульклин
Анализ с помощью нульклин
Анализ с помощью нульклин
Анализ с помощью нульклин
Анализ с помощью нульклин (дополнительная замена переменных)
Однопараметрическая бифуркационная диаграмма
1.20M
Категория: БиологияБиология

Динамика внутриклеточной концентрации ионов кальция

1.

МАТЕМАТИЧЕСКИЕ МЕТОДЫ В БИОФИЗИКЕ
Лекция 5
Динамика внутриклеточной концентрации
ионов кальция
Мат. методы в биофизике
Лекция 5 ( Д.Э.Постнов, 8 семестр)
1

2. Колебания концентрации Са2+

играют важную роль в:
•функционирование мускульных клеток
•электрофизиология сердца
•секреция инсулина (бета-клетки)
•адаптация фоторецепторов
и т.д.
•высокая концентрация Са2+ в течение длительного
времени вредна
• в организме Са2+ хранится в костях
•внеклеточная концентрация – около 1mM
•внутриклеточная концентрация – в 1000 раз меньше
•поддержание градиента Са2+ требует затрат энергии
•механизмы поддержания градиента:
удаление (pumping) и складирование во внутриклеточных структурах
(mitochondria, the endoplasmic reticulum ER, sarcoplasmic reticulum SR,
секреторные гранулы )
Ca2+ATPase, Na+ - Ca2+ exchanger.
Мат. методы в биофизике
Лекция 5 ( Д.Э.Постнов, 8 семестр)
2

3. Механизмы поддержания концентрации Са2+

удаление (pumping) и складирование во внутриклеточных структурах
mitochondria, the endoplasmic reticulum ER, the sarcoplasmic reticulum SR,
секреторные гранулы
Ca2+ATPase, Na+ - Ca2+ exchanger.
Приток
1. Ca2+ каналы
управляемые напряжением
управляемые рецепторами
управляемые вноричными носителями
механически управляемые
2. Высвобождение из внутриклеточных запасов
рианодиновые рецепторы (мышцы, Сa2+ чувствительные, SR)
IP3 рецепторы (внешнее управление)
Мат. методы в биофизике
Лекция 5 ( Д.Э.Постнов, 8 семестр)
3

4.

Роль ионов
кальция в сокращении мышц
Мат. методы в биофизике
Лекция 5 ( Д.Э.Постнов, 8 семестр)
4

5. Другие типы Са2+ колебаний

Мат. методы в биофизике
Лекция 5 ( Д.Э.Постнов, 8 семестр)
5

6. Модель двух емкостей

Мат. методы в биофизике
Лекция 5 ( Д.Э.Постнов, 8 семестр)
6

7.

Последовательность событий
Мат. методы в биофизике
Лекция 5 ( Д.Э.Постнов, 8 семестр)
7

8.

Модель внутриклеточного обмена
Мат. методы в биофизике
Лекция 5 ( Д.Э.Постнов, 8 семестр)
8

9.

Переход к безразмерным
величинам
Мат. методы в биофизике
Лекция 5 ( Д.Э.Постнов, 8 семестр)
9

10.

Типичные значения параметров
Мат. методы в биофизике
Лекция 5 ( Д.Э.Постнов, 8 семестр)
10

11. Анализ с помощью нульклин

Мат. методы в биофизике
Лекция 5 ( Д.Э.Постнов, 8 семестр)
11

12. Анализ с помощью нульклин

Возбудимый режим
Мат. методы в биофизике
Лекция 5 ( Д.Э.Постнов, 8 семестр)
12

13. Анализ с помощью нульклин

Устойчивое состояние
равновесия
Мат. методы в биофизике
Лекция 5 ( Д.Э.Постнов, 8 семестр)
13

14. Анализ с помощью нульклин

Автоколебания
Мат. методы в биофизике
Лекция 5 ( Д.Э.Постнов, 8 семестр)
14

15. Анализ с помощью нульклин (дополнительная замена переменных)

Мат. методы в биофизике
Лекция 5 ( Д.Э.Постнов, 8 семестр)
15

16. Однопараметрическая бифуркационная диаграмма

Мат. методы в биофизике
Лекция 5 ( Д.Э.Постнов, 8 семестр)
16

17.

Учет притока и деградации IP3
Мат. методы в биофизике
Лекция 5 ( Д.Э.Постнов, 8 семестр)
17

18.

Мат. методы в биофизике
Лекция 5 ( Д.Э.Постнов, 8 семестр)
18

19.

Кальций в
цитоплазме
Кальциевый
Обмен с ER
Прирост и деградация
IP3
Мат. методы в биофизике
Лекция 5 ( Д.Э.Постнов, 8 семестр)
19

20.

Характеристики колебаний
Мат. методы в биофизике
Лекция 5 ( Д.Э.Постнов, 8 семестр)
20

21.

Частота в зависимости от
величины внешнего стимула
Мат. методы в биофизике
Лекция 5 ( Д.Э.Постнов, 8 семестр)
21

22.

Колебания сложной формы
Мат. методы в биофизике
Лекция 5 ( Д.Э.Постнов, 8 семестр)
22

23.

Хаос
Мат. методы в биофизике
Лекция 5 ( Д.Э.Постнов, 8 семестр)
23

24.

Квазипериодические
колебания
Мат. методы в биофизике
Лекция 5 ( Д.Э.Постнов, 8 семестр)
24

25.

Мат. методы в биофизике
Лекция 5 ( Д.Э.Постнов, 8 семестр)
25

26.

Мат. методы в биофизике
Лекция 5 ( Д.Э.Постнов, 8 семестр)
26

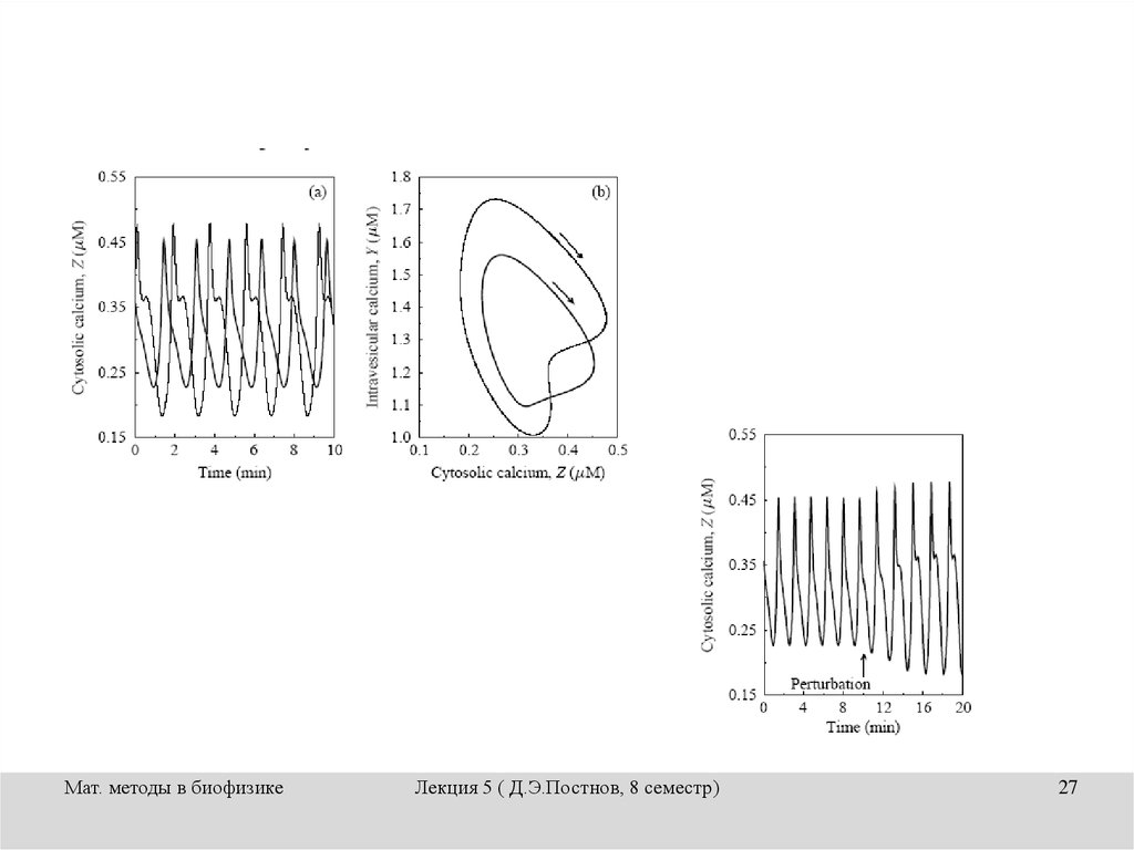
27.

Мат. методы в биофизике
Лекция 5 ( Д.Э.Постнов, 8 семестр)
27

28.

Мат. методы в биофизике
Лекция 5 ( Д.Э.Постнов, 8 семестр)
28
English     Русский Правила