59.60K
Категория: МатематикаМатематика

Иррациональные уравнения

1.

Тема: Иррациональные уравнения.

2.

Цели обучения:
11.1.2.1 - знать определение иррационального
уравнения, уметь определять его область
допустимых значений;
11.1.2.2 - уметь решать иррациональные
уравнения методом возведения обеих частей
уравнения в n-ую степень;

3.

Цели урока:
определять область допустимых значений
иррациональных уравнений;
решать простейшие иррациональные уравнения;
решать иррациональные уравнения возведением
обеих частей уравнения в n-ю степень.

4.

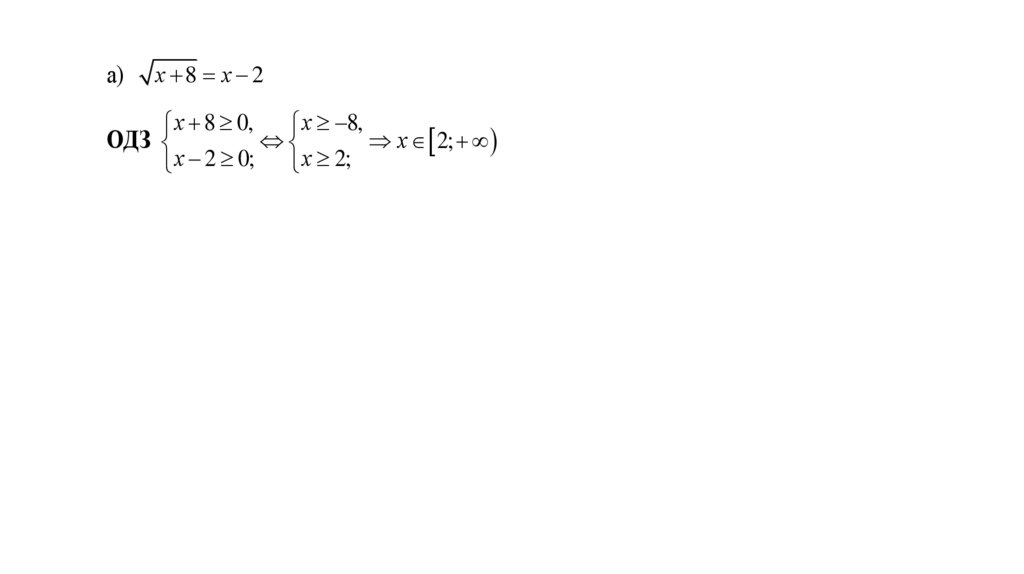
а)
х 8 х 2
х 8 0, х 8,
ОДЗ
х 2;
х 2 0; х 2;

5.

6.

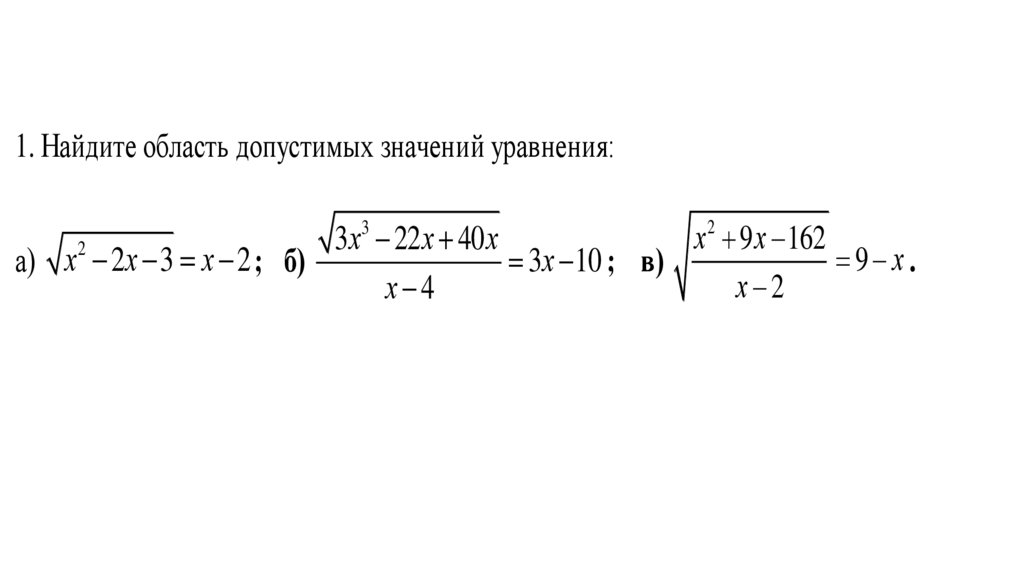
1. Найдите область допустимых значений уравнения:
х 9 х 162
3х 22 х 40 х
9 х .
а) х 2х 3 х 2 ; б)
3х 10 ; в)
х 2
х 4
3
2
2

7.

2. Решите уравнения:
а) х 2 5 ;
б) х 9 2 ;
4
2
в) 6х 1 5 .
3
English     Русский Правила