1.42M
Категория:
Физика
Похожие презентации:
Газовые законы. Решение графических задач на газовые законы
Решение задач. Физика
Практикум по решению задач на движение тела под действием нескольких сил
Нагревание тел. Плавление и кристаллизация. Решение задач
Программа для решения физических задач
Основное уравнение МКТ. Решение задач
Решение задач на применение законов Ньютона
Закон Джоуля-Ленца. Решение задач
Отражение звука, эхо. Решение задач
Методические указания и примеры решения задач по кинематике
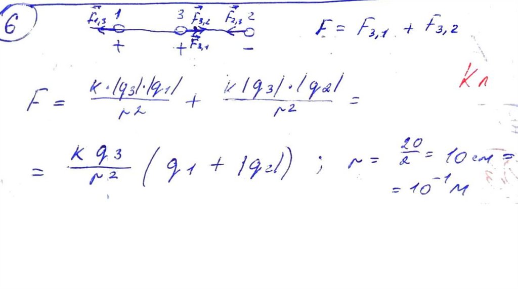
Решение задач
1.
Сначала решите сами, а затем проверьте себя.
На следующем слайде даю решение этих задач
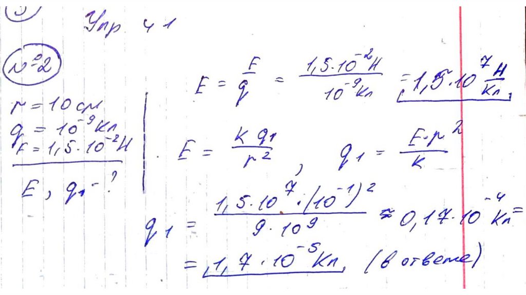
2.
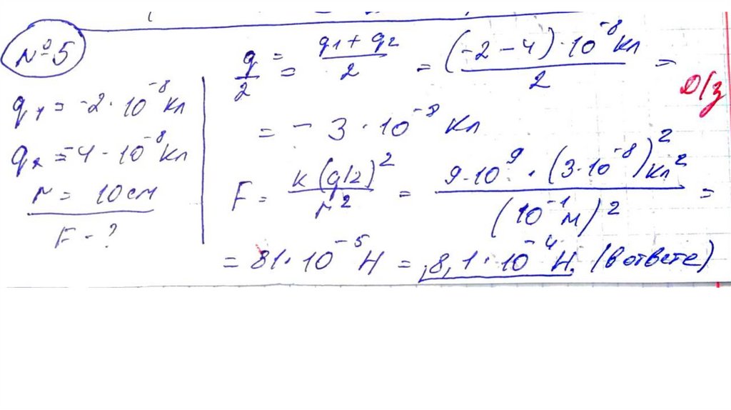
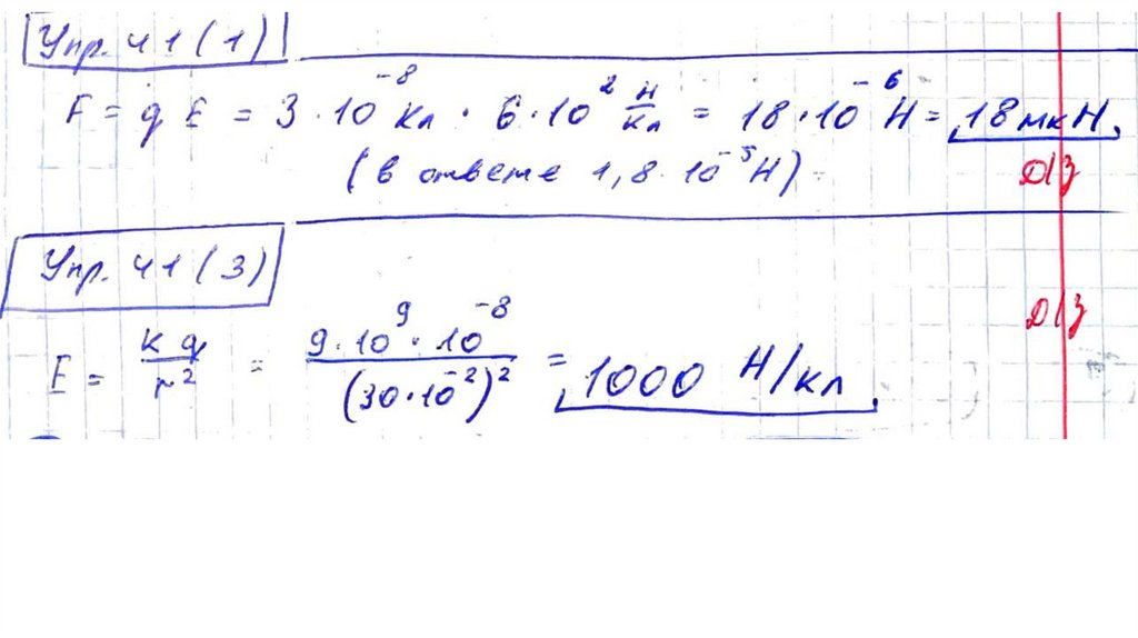
3.
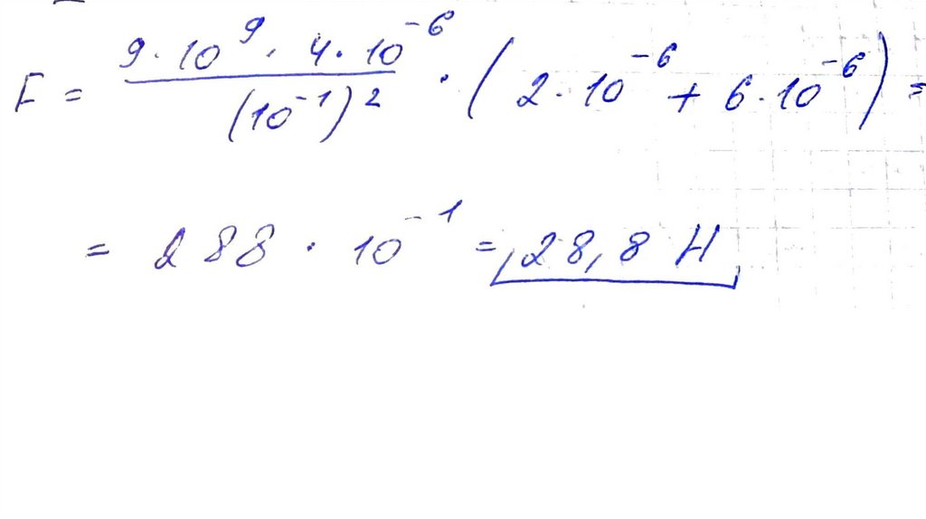
4.
Сначала решите сами, а затем проверьте себя.
На следующем слайде даю решение этих задач
English
Русский
Правила