1.22M
Категория:
Физика
Похожие презентации:
Режимы течения жидкостей
Режимы течения жидкостей
Дислокации в тонких пленках
Гидродинамика. Режимы течения жидкости в трубах. Расчет простого трубопровода
Пленки Лэнгмюра-Блоджетт
Интерференция света в тонких пленках
Турбулентное течение
Турбулентные течения
Механические напряжения и деформации в тонких пленках
Мономолекулярные слои (Пленки Ленгмюра-Блоджетт)
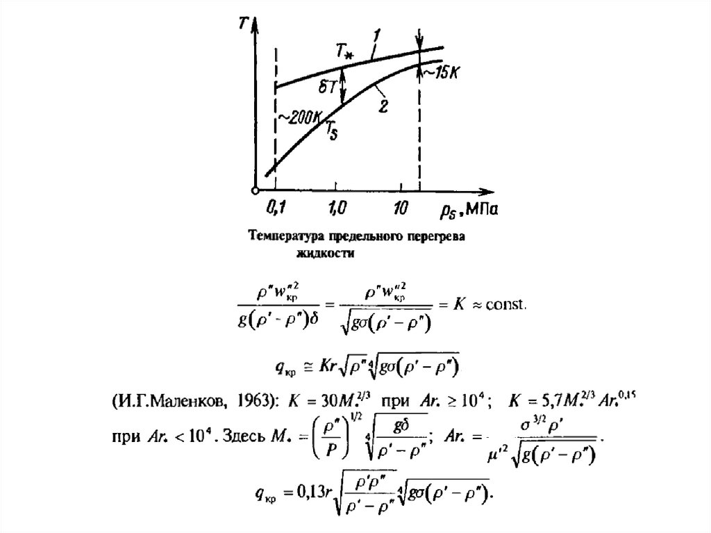
Режимы течения пленки
1.
2.
3.
4.
5.
6.
7.
8.
9.
10.
11.
12.
13.
14.
15.
16.
17.
18.
19.
20.
21.
22.
23.
24.
25.
26.
СПАСИБО ЗА ВНИМАНИЕ
English
Русский
Правила