2.75M
Категория:
Физика
Похожие презентации:
Характеристические параметры четырехполюсника. Вносимое затухание четырехполюсника. Лекция 11
Рабочее тело. Основные параметры рабочего тела
Четырехполюсники Классификация четырехполюсников
Многополюсники. Четырехполюсники
Изготовление водородного генератора и изучение его рабочих характеристик
Четырехполюсники и фильтры
Измерения параметров и характеристик лазерного излучения
Двухполюсники и четырехполюсники
Основные параметры и характеристики передающих антенн
Основы теории четырехполюсников
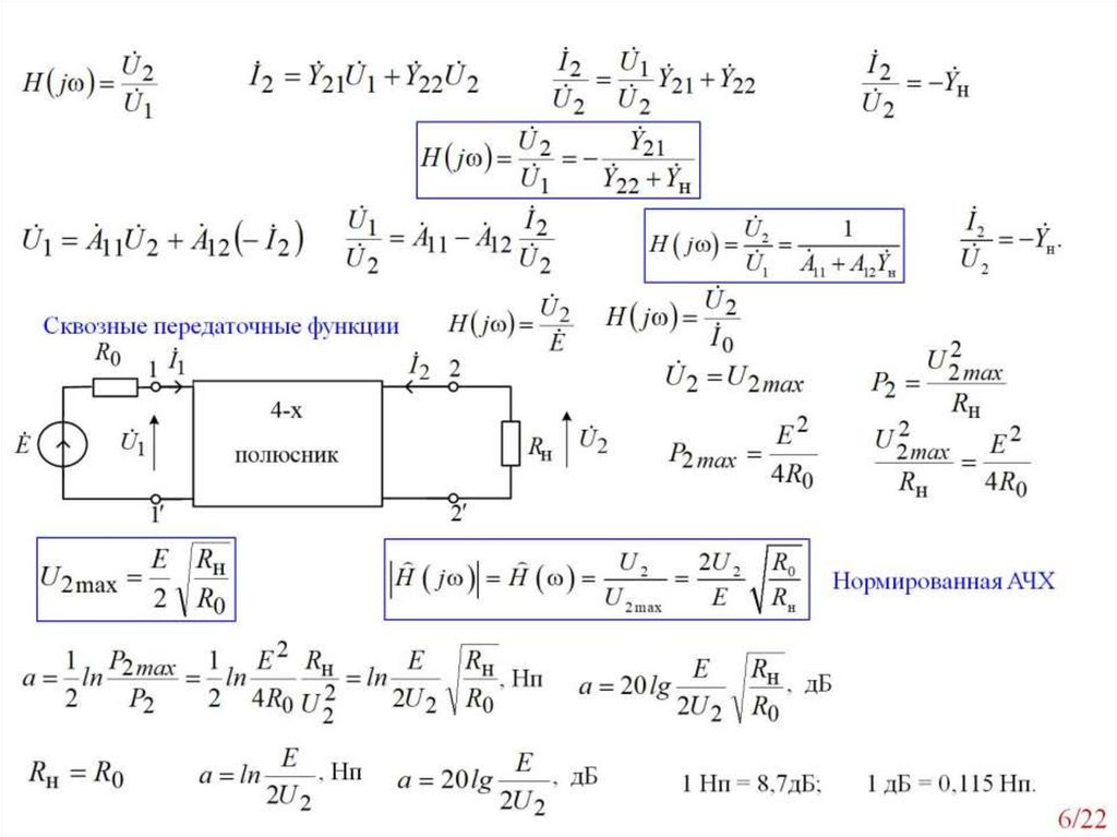
Рабочие и характеристические параметры четырехполюсника. Занятие №22
1.
English
Русский
Правила