865.15K

28.01 Триг уравнения

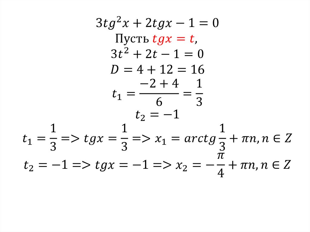
1.

Практическое занятие
Тригонометрические уравнения

2.

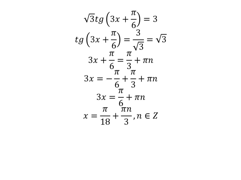
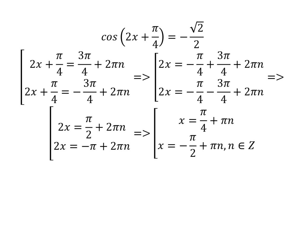
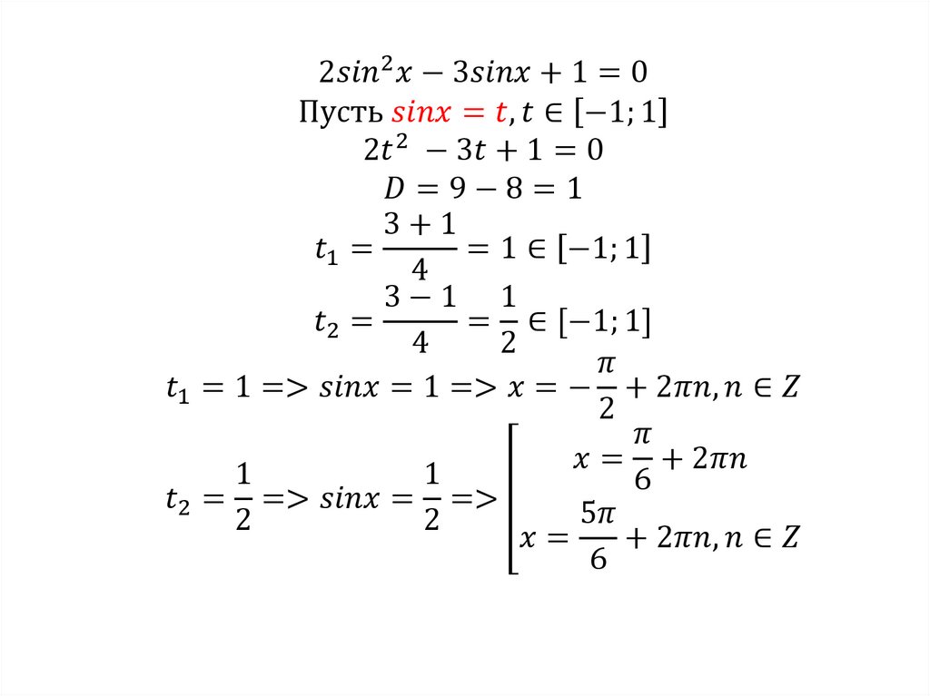
3.

English     Русский Правила