1.42M
Категория: ХимияХимия

Углеводы

1.

2.

Термин «углеводы» ввел
в1844году профессор
Дерптского (ныне
Тартуского) университета
Карл Эрнестович Шмидт
(1822–1894),
рассматривая их как
«гидраты углерода»
Сm(Н2О)n — соединения
углерода с водой.

3.

4.

5.

6.

формул Фишера (Hermann Emil Fischer).

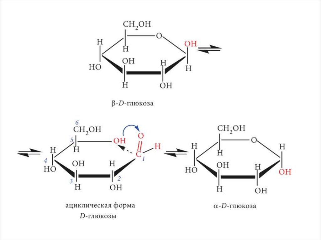
7.

Почему глюкоза не вступает внекоторые реакции, характерные для
альдегидной группы, например во взаимодействие сгидросульфитом
натрия?

8.

9.

Рибоза

10.

дезоксирибоза

11.

Стереоизомеры моносахаридов
Простейший моносахарид (триоза)—
глицериновый альдегид

12.

Тот изомер, укоторого гидроксильная группа расположена справа от
основной цепи, называют D-глицериновым альдегидом; если же группа ОН
расположена слева, это L-глицериновый альдегид
В природе обнаружены моносахариды только D-ряда.

13.

Глюкоза

14.

Восстановление
Сорбит— кристаллическое вещество, сладкое на вкус (вдвое слаще сахара) —
впервые был выделен в 1872 году французским химиком Ж. Бруссино из
листьев рябины (лат. sorbus — рябина).

15.

Окисление

16.

Качественные реакции

17.

Качественные реакции

18.

Качественные реакции

19.

Образование простых эфиров

20.

Образование сложных эфиров

21.

Брожение

22.

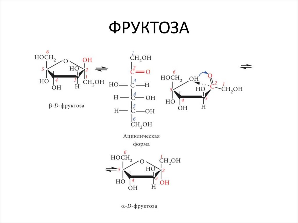
ФРУКТОЗА

23.

Целлобиоза

24.

Сахароза (тростниковый или
свекловичный сахар)

25.

Мальтоза (солодовый сахар) –

26.

Лактоза (молочный сахар)

27.

Целлюлоза (клетчатка)

28.

Амилопектин

29.

Амилоза
English     Русский Правила