448.01K
Категория:
Физика
Похожие презентации:
Переменное электромагнитное поле
Диэлектрики в электрическом поле
Электромагнитные волны. Связь между переменным электрическим и переменным магнитным полями
Электромагнитное поле. Электромагнитные волны
Электромагнитное поле
Электромагнитное поле. История открытия. Компьютер как источник переменного электромагнитного поля
Электромагнитное поле. Электромагнитные волны
Электромагнитное поле
«Электромагнитные поля и волны»
Уравнения Максвелла для электромагнитного поля
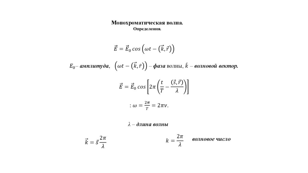
Переменное электромагнитное поле в прозрачном изотропном диэлектрике
1.
Переменное
электромагнитное поле
в прозрачном изотропном
диэлектрике
Уравнения Максвелла.
2.
Уравнения Максвелла.
1
English
Русский
Правила