967.96K
Категория: ХимияХимия

Гетероциклические соединения. Лекция 19

1.

*
1.Гетероциклические
соединения
Нижник Я.П. http://norgchem.professorjournal.ru
1
08.04.2022

2.

*Гетероциклы
*Гетероциклы – соединения, содержащие в
составе цикла атомы разных химических
элементов
*Карбоциклы – циклические соединения,
содержащие в цикле только атомы углерода
N
Нижник Я.П.
http://norgchem.professorjournal.ru
2
08.04.2022

3.

H
H
H
H
H
H
Нижник Я.П.
http://norgchem.professorjournal.ru
3
08.04.2022

4.

H
..
H
H
N
H
N
H
Пиридин
H
H
N
H
..
.
N
N
N
H
Пиримидин
Нижник Я.П.
http://norgchem.professorjournal.ru
4
08.04.2022

5.

H
H
.
..
N
H
N H
H
H
Пиррол
H
N
H
.
..
N
H
N
N H
H
Имидазол
Нижник Я.П.
http://norgchem.professorjournal.ru
5
08.04.2022

6.

H
H
..
H
Тиофен
..
S
S
H
H
H
.
H
..
O
Нижник Я.П.
http://norgchem.professorjournal.ru
O
H
6
Фуран
08.04.2022

7.

.
H H
.
.
H
H
.
.
H
.
.
N H
.
.
.
N
H
Хинолин
.
H
N
N
H
.
N.
H
N
N
N
H
.
.
.
.
..
N .
N
Пурин
Нижник Я.П.
http://norgchem.professorjournal.ru
7
08.04.2022

8.

..
.
N
N H
Нижник Я.П.
http://norgchem.professorjournal.ru
8
08.04.2022

9.

..N
..
..N
H
H
N..
N
порфин
Нижник Я.П.
http://norgchem.professorjournal.ru
9
08.04.2022

10.

*Химические свойства.
*1. Основность и нуклеофильность.
+
HCl
Cl+
N
N
..
H
H
..
N
+
N
+
HCl
N
N
H
H
Нижник Я.П.
http://norgchem.professorjournal.ru
10
Cl-
08.04.2022

11.

HCl
(ОСНОВНОСТЬ)
+
N
H
Cl
хлорид пиридиния
(гидрохлорид пиридина)
N
пиридин
CH3 I
(НУКЛЕОФИЛЬНОСТЬ)
+
N
CH3
I
иодид N-мeтилпиридиния
Нижник Я.П.
http://norgchem.professorjournal.ru
11
08.04.2022

12.

H
(H+, 2e)
+
N
N
CH3
CH3
H
H
H
H
H
H
+
N
(H+, 2e)
H
Нижник Я.П.
http://norgchem.professorjournal.ru
H
H
CH3
H
N
H
H
CH3
12
08.04.2022

13.

CONH2
O
CONH2
O
+
N
HO
P
O
CH2
H
P
H
OH
CH2
H
H
N
O
O
HO
P
H
N
N
O
N
CH2
H
H
OH
N
O
N
H
H
OH
13
NH2
OH
O
H
Нижник Я.П.
http://norgchem.professorjournal.ru
H
OH
H
OH
CH2
H
O
N
O
O
H
NH2
N
O
P
+2e, +H+
H
OH
HO
HO
O
H
O
N
OH
08.04.2022

14.

*Электрофильное замещение
H
N
O
H
,S
O
32 4
H
N
O
H
,S
O
32 4
N
N
Нижник Я.П.
http://norgchem.professorjournal.ru
N
O
2
14
08.04.2022

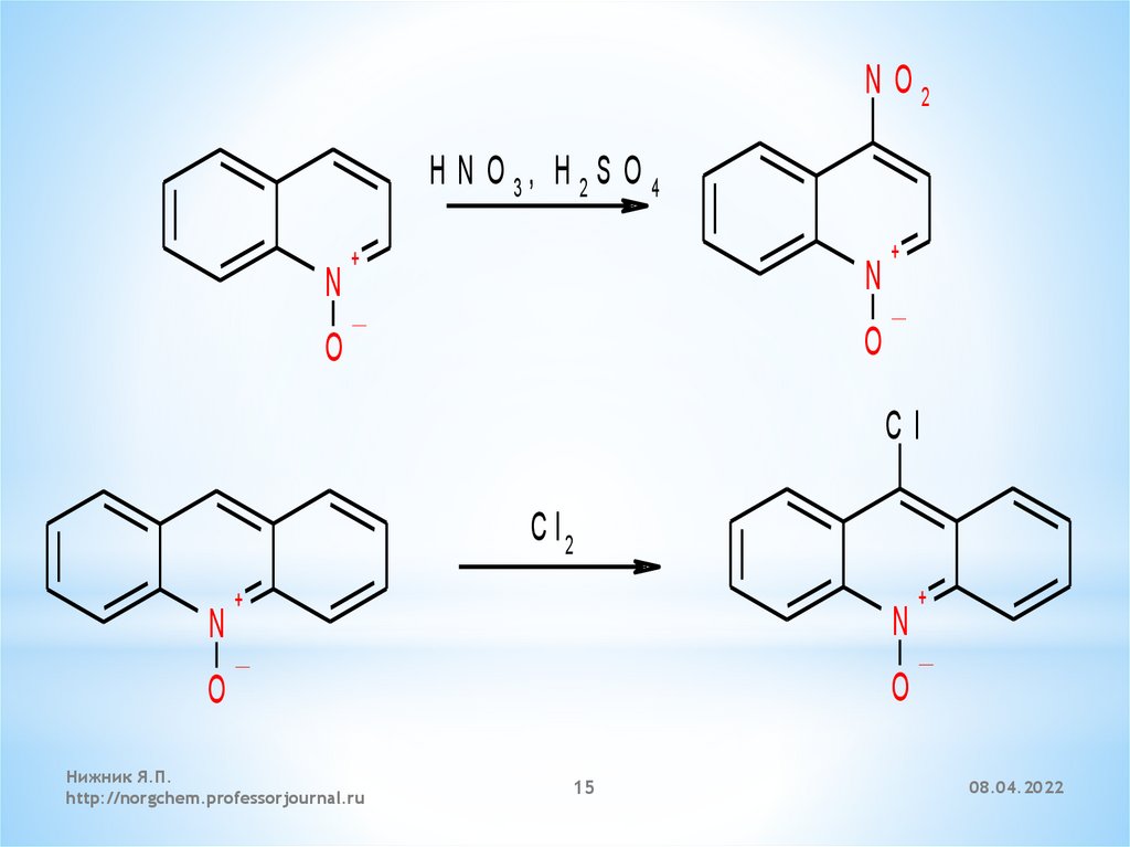
15.

N O2
H N O 3, H 2 S O 4
N
+
N
+
O
O
Cl
C l2
N
+
N
O
O
Нижник Я.П.
http://norgchem.professorjournal.ru
+
15
08.04.2022

16.

Br2
N
N
- HBr
H
H
Br2
Br2
O
- HBr
Нижник Я.П.
http://norgchem.professorjournal.ru
Br
O
Br
16
- HBr
Br
O
Br
08.04.2022

17.

H2SO4
S
SO3H
S
-HO
2
N
SO 3
N
H
Нижник Я.П.
http://norgchem.professorjournal.ru
N
-
SO3H
H
N
17
08.04.2022

18.

N
N
COOH
KMnO4
CH3
N
O
C
Нижник Я.П.
http://norgchem.professorjournal.ru
N
18
NH2
08.04.2022

19.

O
HO
O
N
H
N
H
2
C
C
N
Нижник Я.П.
http://norgchem.professorjournal.ru
N
19
08.04.2022

20.

7
6
1
5
N
6
N
1
7
5
N
N
8
9
2
N
4
3
Нижник Я.П.
http://norgchem.professorjournal.ru
9
2
N
N
3
H
20
4
N
8
H
08.04.2022

21.

O
H
H
N
N
O
N
N
H
ксантин
O
H3C
O
N
N
N
O
CH3
N
CH3
кофеин
Нижник Я.П.
http://norgchem.professorjournal.ru
H3C
O
N
N
CH3
теофиллин
21
O
H
N
H
N
O
CH3
N
N
N
N
CH3
теобромин
08.04.2022

22.

N
N
H
H
Нижник Я.П.
http://norgchem.professorjournal.ru
22
08.04.2022

23.

CH2
CH
NH2
N
COOH
CH2
декарбоксилаза
NH2
N
H
CH2
H
триптофан
CO2
триптамин
CH2
CH3
N
N
CO2
H
H
скатол
Нижник Я.П.
http://norgchem.professorjournal.ru
COOH
гетероауксин
23
08.04.2022

24.

*Нуклеиновые кислоты
*НК- это полинуклеотиды,
т.е. биополимеры, мономерами которых
являются нуклеотиды.
*Нуклеотиды-фосфорные эфиры нуклеозидов
*Нуклеозиды – гликозиды, образованные
нуклеиновыми основаниями и пентозой
(рибозой или дезоксирибозой)

25.

*Нуклеиновые кислоты

26.

*Нуклеиновые кислоты
Гидролиз
РНК
H2O
O
HO
P
O
CH2
OH
B
O
H
ДНК
CH2
B
O
H
OH
H2O
HO
OH
O
B
H
OH
OH
+
H
H
H
OH
CH2
H
H
H
H
OH
H2O
HO
-H3PO4
H
H
H2O
OH
O
HO
P
O
CH2
OH
B
O
H
H
-H3PO4
H
H
OH
нуклеотиды
H
H2O
HO
CH2
H
H
B
O
HO
CH2
H
H
H
OH
H2O
H
нуклеозиды
H
OH
O
+
H
B
H
OH
H
пентоза
Нукл.
Осн.

27.

*Нуклеиновые основания
пуриновые основания
NH2
N
N
N
N
Аденин
H
O
H
H2N
OH
N
N
N
N
N
N
H2N
N
H
лактам
N
H
лактим
Гуанин

28.

*Нуклеиновые основания
пиримидиновые основания
OH
O
H
N
N
O
HO
N
H
Урацил
O
N
O
OH
CH3
H
Тимин
CH3
N
HO
N
N
N
O
H
NH2
NH2
N
N
N
HO
H
Цитозин
N

29.

*Нуклеозиды
*Нуклеозиды-гликозиды, образованные
нуклеиновыми основаниями и пентозой (рибозой
или дезоксирибозой)
O
H
N
O
O
H
N
N
H
HO
CH2
H
H
OH
O
HO
CH2
H
H
OH
O
OH
H
H
N
O
+
H
H
OH
OH
Уридин
H2O

30.

O
H
N
O
HO
CH2
H
H
O
N
N
N
HO
O
H
H
H
H
OH
CH2
OH
H
H
OH
Уридин
O
OH
H
O

31.

O
H
N
O
HO
CH2
H
H
N
Гликозидная связь
O
H
H
OH
OH

32.

NH2
NH2
N
N
O
HO
CH2
N
HO
O
H
H
OH
Цитидин
CH2
H
H
H
OH
N
O
H
O
H
H
OH
H
Дезоксицитидин

33.

O
H
N
N
O
HO
CH2
H
H
CH3
O
H
H
OH
H
Тимидин

34.

NH2
NH2
N
N
N
N
N
HO
N
CH2
H
H
O
HO
CH2
H
H
OH
N
N
OH
Аденозин
H
H
O
H
H
OH
H
Дезоксиаденозин

35.

Аденозин и дезоксиаденозин можно изобразить и так:
NH2
N
N
HO
CH2
H
H
N
N
N
N
HO
O
CH2
H
H
H
OH
NH2
OH
Аденозин
H
N
N
O
H
H
OH
H
Дезоксиаденозин

36.

O
H
N
N
CH2
H
H
O
HO
CH2
H
OH
Гуанозин
N
N
H2N
H
OH
N
H N
N
N
H2N
HO
O
H
H
O
H
H
OH
H
Дезоксигуанозин

37.

O
N
N
HO
CH2
H
H
N
N
H
N
NH2
N
HO
O
CH2
H
H
H
OH
O
OH
Гуанозин
H
N
N
O
H
H
OH
H
Дезоксигуанозин
H
NH2

38.

*Гидролиз нуклеозидов
NH2
N
N
HO
CH2
H
H
NH2
N
HO
O
H2O
H
H
OH
N
OH
аденозин
CH2
H
H
OH
OH
N
O
+
H
H
N
OH
H
рибоза
N
N
аденин

39.

*Нуклеотиды
*Нуклеотиды - фосфорные эфиры нуклеозидов
NH2
сложноэфирная связь
N
O
HO
P
N
O
CH2
OH
H
H
N
гликозидная связь
O
H
H
OH
N
OH

40.

NH2
N
O
HO
P
N
O
CH2
OH
H
H
N
N
O
N
HO
O
P
N
O
CH2
OH
H
H
OH
O
OH
Аденозин-5’-фосфат
Аденозинмонофосфат (АМФ)
5’-адениловая кислота
H
H
N
N
NH2
O
H
H
OH
OH
Гуанозин-5’-фосфат
Гуанозинмонофосфат (ГМФ)
5’-гуаниловая кислота

41.

O
NH2
N
O
HO
P
N
O
CH2
OH
H
H
H
N
HO
O
H
P
N
O
CH2
OH
H
OH
O
O
OH
Уридин-5’-фосфат
Уридинмонофосфат (УМФ)
5’-уридиловая кислота
H
H
O
O
H
H
OH
OH
Цитидин-5’-фосфат
Цитидинмонофосфат (ЦМФ)
5’-цитидиловая кислота

42.

*Нуклеотиды
Название как
монофосфатов
Название как кислот
Сокращение
Аденозин-5’-фосфат
5’-Адениловая кислота
АМФ
Гуанозин-5’-фосфат
5’-Гуаниловая кислота
ГМФ
Цитидин-5’-фосфат
5’-Цитидиловая кислота
ЦМФ
Уридин-5’-фосфат
5’-Уридиловая кислота
УМФ
Дезоксиаденозин-5’фосфат
5’-Дезоксиадениловая кислота
дАМФ
Дезоксигуанозин-5’фосфат
5’-Дезоксигуаниловая кислота
дГМФ
Дезоксицитидин-5’фосфат
5’-Дезоксицитидиловая кислота
дЦМФ
Тимидин-5’-фосфат
5’-Тимидиловая кислота
дТМФ

43.

Сокращения АМФ, ГМФ и т.д. относят к 5’-нуклеотидам.
У других нуклеотидов в сокращённом названии указывают
положение фосфата
NH2
N
N
5'
HO
CH2
N
N
O
4'
1'
3' 2'
OH
O
HO
P
O
OH
Аденозин-3’-фосфат
3’- Аденозинмонофосфат (3’- АМФ)
3’-адениловая кислота

44.

NH2
N
5'
O CH2
N
O
4'
HO
P
O
1'
3'
O
2'
OH
цAMФ
N
N

45.

* Циклический аденозинмонофосфат (циклический AMФ,
цAMФ, cAMP) — Циклический нуклеотид, играющий роль
вторичного посредника некоторых гормонов (глюкагона
или адреналина), которые не могут проходить через
клеточную мембрану.
У прокариот цAMФ участвует в регуляции метаболизма.

46.

*Гидролиз нуклеотидов
NH2
N
O
HO
P
N
N
O
CH2
OH
NH2
N
N
N
HO
O
H
CH2
H
H
OH
H2O
H3PO4
OH
H
H
H
OH
АМФ
HO
OH
аденозин
NH2
CH2
H
H
OH
OH
N
O
+
H
H
N
OH
H
рибоза
N
N
аденин
N
H2O
O
H
H
N

47.

*Нуклеотиды - коферменты
NH2
N
O
HO
P
CH2
OH
N
N
N
O
NH2
O
N
HO
O
H
H
H
H3PO4
H
OH
АМФ
P
O
O
P
OH
H2O
CH2
H
H
OH
Ангидридные Сложноэфирная NH2
связи
связь
O
O
P O
P
OH
OH
O
O
P
N
O
CH2
OH
H
H
АТФ
O
H
H
OH
OH
АТФ – универсальный макроэрг
N
N
O
H
H
OH
HO
H2O
O
OH
N
H3PO4
N
OH
АДФ
N
N

48.

Образование АТФ происходит
*1. В результате субстратного
фосфорилирования (гликолиз, одна
реакция ЦТК)
*2. Окислительное
фосфорилирование (в митохондриях)
*3. Фотофосфорилирование (в
хлоропластах)

49.

*АТФ как кофермент
O
O
N
N
HO
CH2
H
H
N
N
H
N
O
NH2
HO
O
P
N
O
OH
H
АТФ
АДФ
ГМФ
O
H
OH
ГМФ
ГДФ
АТФ
АДФ
N
H
OH
OH
гуанозин
H
H
H
OH
CH2
N
ГТФ
АТФ
АДФ
H
NH2

50.

* Образование
аминоациладенилата
NH2
N
HO
O
O
P O
P
OH
OH
O
O
N
N
P
O
CH2
OH
O
N
+
O
H
NH2
H
H
O
R
-H4P2O7
NH2
N
CH
OH
аминокислота
OH
АТФ
NH2
C
R
H
OH
CH
C
O
O
P
N
O
CH2
OH
H
H
O
H
H
OH
OH
аминоациладенилат
N
N
Аминоацил-тРНК
(в синтез белка)

51.

* Никотинамидадениндинуклеотид
(НАД+)
Hкак кофермент
H
H
CONH2
CONH2
O
N
HO
P
O
CH2
HO
H
P
H
OH
N
O
CH2
N
O
H
H
НАД+
CH2
N
O
H
H
O
H
OH
HO
P
OH
OH
NH2
N
O
N
O
CH2
N
O
H
H
H
OH
O
H
NH2
N
O
P
H
H
OH
HO
N
O
H
O
O
+
H
H
H
OH
НАДН
OH
N

52.

*Первичная структура НК
* Первичная структура НК - последовательность нуклеотидов
5’- конец ТГАЦТААГТАЦЦ 3’-конец
(ф-конец)
(OH-конец)

53.

*Первичная структура ДНК
O
H3C
N
O
O
P
N
O
CH2
OH
Т
O
O
O
H
H
H
N
H
O
O
H
P
H
O
N
CH2
OH
NH2
H
H
H
O
P
NH2
N
O
H
O
N
Г
H
N
N
H
O
CH2
OH
H
H
N
O
H
H
O
H
N
А

54.

*Первичная структура РНК
O
N
O
O
P
N
O
CH2
OH
O
O
O
H
H
H
N
H
O
O
У
H
P
OH
O
N
CH2
OH
NH2
H
H
H
O
P
Г
NH2
N
O
H
O
N
H
N
N
OH
O
CH2
OH
H
H
N
O
H
H
O
OH
N
А

55.

*Вторичная структура
* Вторичная структура ДНК – двойная правая спираль
(Уотсон, Крик, 1953)
* Две цепи антипараллельны друг другу.
* Цепи связаны водородными связями по принципу
комплементарности.
5’
3’
А Г Г Т Ц Т А Т Г А Ц Т Т Г Ц Т А Ц
Т Ц Ц А Г А Т А Ц Т Г А А Ц Г А Т Г
3’
5’

56.

*
Водородные связи между комплементарными основаниями в ДНК
H
N
O
N
R
. . .H
N H
...
N
N
N
N H
...
N
O
R
H
H
O.
N
N
R
. .H
N H
...
N
N
N
N H
...
N
N
R
N
O
H
N H.
N
..O
. . .H
N
N
N
O
R
H
Г
Ц
CH3
А
Т
R

57.

ДНК
ДНК
ДНК
Репликация
РНК
Транскрипция
белок
Трансляция
Репликация и транскрипция идут по принципу комплементарности:
5’ ЦАТ 3’ участок первой цепи ДНК
3’ ГТА 5’ участок второй цепи ДНК
Т.к. 5’ это начало , то не ГТА, а АТГ
5’ ЦТТ 3’ участок ДНК
3’ ГАА 5’ участок РНК
Т.к. 5’ это начало , то не ГАА, а ААГ
Кодону ААГ в мРНК соответствует антикодон УУЦ в тРНК

58.

Нижник Я.П.
http://norgchem.professorjournal.ru
58
08.04.2022

59.

Solution structure and
dynamic analysis of chicken
MBD2 methyl binding domain
bound to a target-methylated
DNA sequence.
Scarsdale, J.N., Webb,
H.D., Ginder,
G.D., Williams, D.C.
Journal: (2011) Nucleic Acids
Res.
Нижник Я.П.
http://norgchem.professorjournal.ru
59
08.04.2022

60.

How mutations in tRNA
distant from the anticodon
affect the fidelity of
decoding.
Schmeing, T.M., Voorhees,
R.M., Kelley,
A.C., Ramakrishnan, V.
Journal: (2011)
Nat.Struct.Mol.Biol. 18: 432436
* THE CRYSTAL STRUCTURE OF EF-TU AND G24A-TRNA-TRP BOUND TO A
NEAR-COGNATE CODON ON THE 70S RIBOSOME
Нижник Я.П.
http://norgchem.professorjournal.ru
60
08.04.2022
English     Русский Правила