659.62K
Категория: ФизикаФизика

Ударное нагружение

1.

Ударное нагружение
Самара 2020

2.

№1
.
При строительстве небольшого
моста забитую сваю диаметром
d = 20 см, изготовленную из дерева,
оставили до весны.
Вес льдины - 2 кH
Скорость – 1 м/c
__________________________________
2

3.

.
3

4.

№2
.
4

5.

.
5

6.

.
6

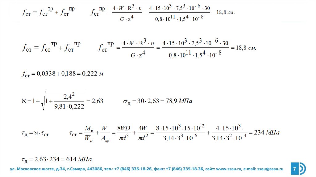
7.

.
7

8.

№3
.
8
English     Русский Правила