Структурные полисахариды. Строение. Функции. Биогенез
Образование активированных мономеров для синтеза ГАГ и углеводных частей гликопротеинов
Реакция сульфатирования остатка N-ацетилгалактозамина в процессе синтеза цепи хондроитинсульфата
5.20M
Категория: ХимияХимия

Структурные полисахариды. Строение. Функции. Биогенез

1. Структурные полисахариды. Строение. Функции. Биогенез

2.

3.

4.

5.

6.

7.

8.

Малые богатые лейцином

9.

10.

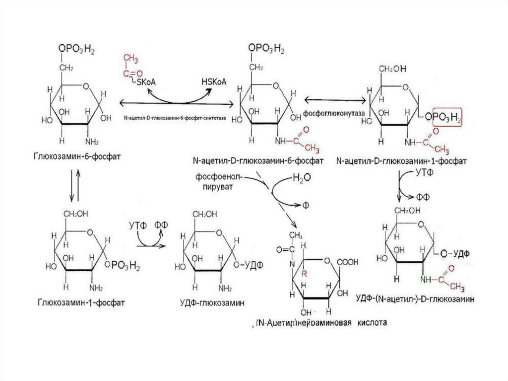
11. Образование активированных мономеров для синтеза ГАГ и углеводных частей гликопротеинов

12.

13.

Фру-6-фосфатаминотрансфераза

14.

15.

16.

17. Реакция сульфатирования остатка N-ацетилгалактозамина в процессе синтеза цепи хондроитинсульфата

18.

19.

Синтез гиалуроновой
кислоты протекает на
внутренней поверхности
плазматической мембраны
при участии фермента
гиалуронансинтетазы.
Фермент расположен в
мембране и образует в ней
каналы, поэтому фермент не
только осуществляет
поочередный перенос
моносахаров от УДФглюкуроновой кислоты и
УДФ-N-ацетилглюкозамина
на строющуюся цепь, но и
транспортирует
гиалуроновую кислоту из
клетки
English     Русский Правила