Плазмоны.
Плотность Гамильтониана
Тогда уравнение Пуассона дает:
Дисперсионный закон для плазмонов
Плазменная частота
Диэлектрическая проницаемость, соответствующая однородным плазменным колебаниям
Литература
119.50K

Плазмоны

1. Плазмоны.

Выполнила:Абдрафикова Р.И. группа 4Ф2

2.

• Рассмотрим модель электронного газа в виде
непрерывной среды с неподвижным
статистическим фоном положительного заряда.
Пусть в единице объема электронного газа
содержится n электронов. В этом объеме
однородно распределены создающие фон
неподвижные положительные заряды с
плотностью 0 n e , т.е. с плотностью, равной и
противоположной по знаку средней плотности
электронов.

3. Плотность Гамильтониана

(1)

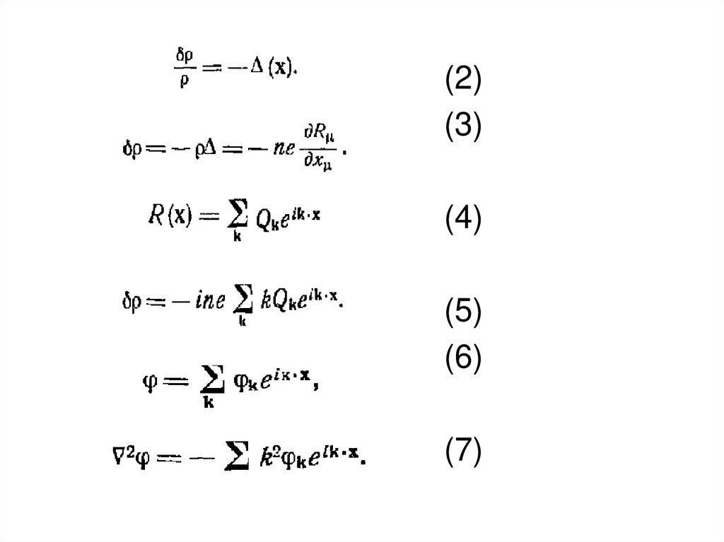
4.

(2)
(3)
(4)
(5)
(6)
(7)

5. Тогда уравнение Пуассона дает:

(8)
После интегрирования по объему
получим для электростатического
члена в (1):
(9)

6.

• Вводя плотность импульса имеем
(10)

7. Дисперсионный закон для плазмонов

(11)

8. Плазменная частота

р
4 e 2
m
• Плазменная частота соответствует
собственным колебаниям электронного
газа, называемым плазменными
колебаними. Кванты этих колебаний можно
назвать плазмонами.

9. Диэлектрическая проницаемость, соответствующая однородным плазменным колебаниям

(12)
(13)

10.

11. Литература

• 1. Киттель, Ч. Квантовая теория
твердых тел. -48-55 с.
• 2. Киттель, Ч. Введение в физику
твердого тела. -288 с.
English     Русский Правила