Домашние задания за период январь-март.
Стоит вопрос о точках на координатной плоскости.
Решение варианта 2.
Задание: построить график функции под номером 2.
3.24M
Категория: МатематикаМатематика

Домашние задания за период январь - март

1. Домашние задания за период январь-март.

Итак, мы глобально успели проработать такие темы:
1) Счет (десятичные дроби, обыкновенные, отрицательные числа, буквенные
уравнения, подстановка, работа со скобками и т.д.)
2) Решение задач
3) Приступили к графикам
Тут собрано не все, докидывайте если видите еще что. Я постараюсь тоже
редактировать.

2.

3.

4.

5.

6.

7.

8.

9. Стоит вопрос о точках на координатной плоскости.

10.

11.

Стоит вопрос о среднем
арифметическом, размахе,
моде и медиане.

12.

13.

14.

15.

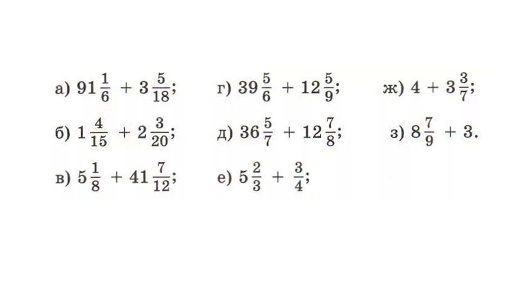
16. Решение варианта 2.

17. Задание: построить график функции под номером 2.

18.

19.

20.

21.

22.

23.

• 1) Катер за 2 часа по озеру и за 3 часа против течения реки проплывает
такое же расстояние, что и за 3 ч 24 мин по течению реки. Найдите
собственную скорость катера, если скорость течения реки равна 3
км/ч.
2) Велосипедист собирался преодолеть расстояние от поселка до
станции за 5 часов. Выехав из поселка, он увеличил свою скорость на 3
км/ч и проехал расстояние до станции за 4 часа. Чему равно
расстояние от поселка до станции?
3) На три полки поставили 278 книг. На первую из них поставили на 14
книг больше, чем на вторую. На третью полку в два раза больше, чем
на вторую. Сколько книг поставили на первую полку?
4) Изделие, цена которого 500 рублей, сначала подорожало на 10%, а
затем еще на 20%. Какова окончательная цена изделия?
5) В первый день со склада было отпущено 20% имевшихся яблок. Во
второй день 180% от того количества яблок, которое было отпущено в
первый день. В третий день - оставшиеся 88 кг. Сколько кг яблок было
на складе первоначально?
English     Русский Правила