14.14M
Категория: ХимияХимия

Нуклеиновые кислоты. Коферменты окисления и восстановления

1.

Нуклеиновые кислоты
Коферменты окисления и восстановления

2.

ДНК и РНК

3.

Функции РНК И ДНК
• Нуклеиновые кислоты играют большую роль в предаче
наследственных признаков и управлении процессом
биосинтеза белка.
• Швейцарским химиком Ф. Мишером (1869) выделены из ядер
клеток вещества кислотного характера, которые позже были
названы нуклеиновыми кислотами (НК).
• НК- ВМС с молекулярной массой от 25 тыс. до 1 млн. Они
построены из нуклеотидов – трехкомпонентных образований.
НК делятся на ДНК и РНК. ДНК хранит и передает
наследственную информацию, которая заложена в ее
структуре. ДНК способна репродуцироваться и служит
матрицей при синтезе РНК. РНК бывает – тРНК, м-РНК, рРНК. РНК передает информацию от ДНК, управляет синтезом
белка в клетках.

4.

5.

6.

7.

8.

9.

10.

ТАУТОМЕРИЯ

11.

12.

13.

Структурная формула
фосфорной кислоты

14.

15.

нуклеозиды

16.

НУКЛЕОЗИДЫ

17.

18.

19.

20.

21.

СИН- И АНТИ-КОНФОРМЕРЫ

22.

23.

Анти и син- конформации

24.

25.

26.

27.

28.

нуклеотиды

29.

30.

31.

32.

33.

Первичная структура ДНК

34.

ПЕРВИЧНАЯ СТРУКТУРА РНК

35.

36.

ГГ

37.

Модель ДНК ПО УОТСОНУ

38.

39.

40.

41.

42.

43.

44.

МУТАЦИИ

45.

МУТАЦИИ ЗА СЧЕТ СДВИГА
ТАУТОМЕРНОГО РАВНОВЕСИЯ

46.

47.

АТФ

48.

49.

50.

51.

52.

53.

Синтез АТФ

54.

55.

56.

57.

АКТИВАЦИЯ МОНОСАХАРИДОВ

58.

АКТИВАЦИЯ АМИНОКИСЛОТ

59.

60.

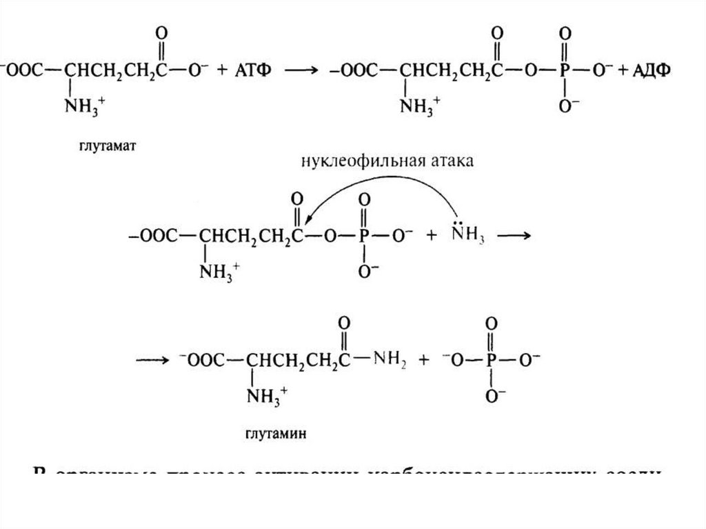
АКТИВАЦИЯ КАРБОНОВЫХ
КИСЛОТ

61.

АКТИВАЦИЯ АМИНОКИСЛОТ

62.

63.

ТРАНСПОРТ АМИНОКИСЛОТ

64.

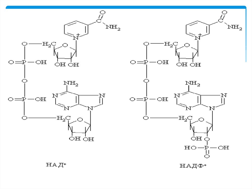
КОФЕРМЕНТЫ ОКИСЛЕНИЯ И
ВОССТАНОВЛЕНИЯ

65.

66.

67.

68.

69.

70.

ОКИСЛЕНИЕ СПИРТОВЫХ ГРУПП

71.

72.

73.

74.

75.

СТЕРИОСПЕЦИФИЧНОСТЬ

76.

77.

78.

79.

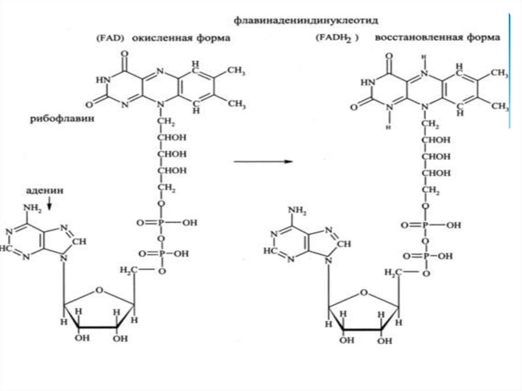
СТРОЕНИЕ ФАД+

80.

ФУНКЦИИ ФАД

81.

ИЗМЕНЕНИЯ В АКТИВНОЙ ЧАСТИ
ФАД
English     Русский Правила