2.33M
Категория:
Английский язык
Похожие презентации:
Lecture 8. Fundamentals of english lexicography
The Adjective. The Pronoun. Lecture 8
Syntax. Lecture 8
Homonyms. Lecture 8
New english. Lecture 8
Assessing writing (Part 1). Lecture 8
A double-decker bus
The theory of functional styles. Lecture 8
Lecture 8 general characteristics of the me grammar
The double-decker bus as a symbol of London
Double integrals. Lecture 8
1.
Lecture 8
2.
- Double integrals, their
properties, and evaluations
- Area
- Double integral in Polar form
- Substitutions in double integrals
3.
Double Integrals
4.
5.
6.
Volume
7.
8.
9.
10.
11.
12.
Properties of double integrals
13.
14.
15.
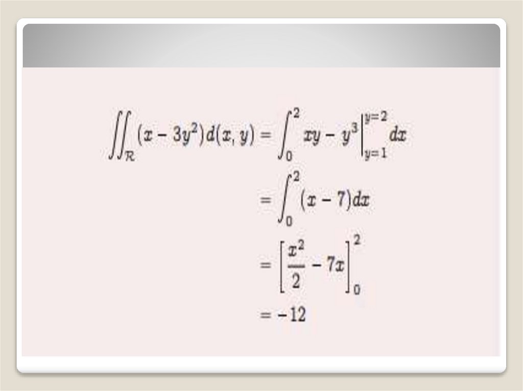
Example
16.
17.
18.
19.
20.
Example
21.
22.
23.
24.
25.
26.
27.
Double integral in polar form
28.
29.
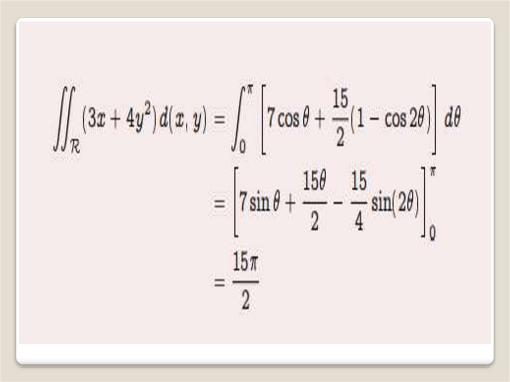
Example
30.
31.
32.
33.
34.
Change of variable
35.
Example
36.
37.
38.
39.
40.
41.
42.
Application of double integrals
43.
44.
Example
45.
46.
Example 2
47.
48.
49.
Problems
50.
51.
Example
52.
53.
54.
55.
Thanks for your attention!
English
Русский
Правила