1.82M
Категория: МатематикаМатематика

Геометрия ЕГЭ Задача 17. Планиметрия

1.

2.

3.

4.

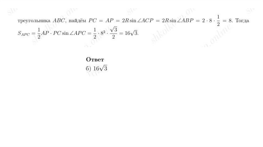
5.

6.

7.

8.

9.

10.

11.

12.

13.

14.

15.

16.

?

17.

18.

19.

Домашнее задание

20.

21.

б) Рассмотрим АВС (прямоугольный):
ВС=26 (10,24,26 - тройка).
ОС=ОА=ОВ=13 (радиусы описанной
окружности).
АСВ равен половине АОВ (вписанный и
центральный углы,опирающиеся на одну и ту
же дугу).
АОВ - равнобедренный, ОМ - высота и
биссектриса АОN= ВОN= АСВ= .

22.

ABC ANO (по двум равным углам)
NO АО NO 13
26 13
=
= NO=
=33,8
ВС АС
26 10
10
Ответ. 33,8

23.

24.

25.

Домашнее задание

26.

27.

28.

29.

30.

Домашнее задание

31.

17. Периметр треугольника ABC равен 24. Точки E и F — середины сторон AB и BC соответственно.
Отрезок EF касается окружности, вписанной в треугольник ABC.
а) Докажите, что
б) Найдите площадь треугольника ABC, если

32.

Обозначим EF=x, CF=z, AE=y.Тогда АС=2х (ЕF средняя линия АВС по усл.). Т.к. в
четырехугольник АЕFC вписана окружность
2х+х = у+z. По условию 2х+2у+2z=24.
3х=12-х
4х=12
х=3 АС=2х=6, ч.т.д.

33.

б) Из пункта а): у+z=9 y=9-z.
По т.Пифагора:
4х2+4z2=4y2
х2+z2=y2
9+z2=y2
Подставим y=9-z во второе ур-ние:
9+z2=(9-z)2
9+z2=81- 18z+z2
18z=72
z=4
Отсюда ВС=8.
1
1
S ABC= AC BC= 6 8=24
2
2
Ответ. 24

34.

Домашнее задание
English     Русский Правила