1.59M
Категория: ХимияХимия

Биологически важные гетероциклические соединения

1.

БИОЛОГИЧЕСКИ ВАЖНЫЕ
ГЕТЕРОЦИКЛИЧЕСКИЕ
СОЕДИНЕНИЯ

2.

Гетероциклическими
называют
соединения, в циклах которых помимо
атомов углерода содержатся и другие
атомы (т.н. гетероатомы), чаще всего N,
O, S

3.

Классификация гетероциклов
• по размеру цикла
• по числу гетероатомов
• по характеру гетероатомов

4.

Пятичленные гетероциклы с
одним и двумя гетероатомами
β
4
3
5
O
4
N
2
α
1
α
N
H пиррол
фуран
5
1
1
N
H
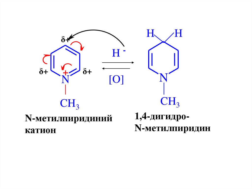
N
N2
пиразол
3
2
N
H имидазол
3
4
5
β
S
тиазол
азолы

5.

Шестичленные гетероциклы с
одним и двумя гетероатомами
4
β5
α6
γ
5

6

7
1
N
..
пиридин
4
N:
5
6
1
N
..
пиримидин
3
1
8
3
4
N
..
хинолин
2
азины
2

6.

пиррол
пиридин
пиримидин

7.

Ароматические свойства
гетероциклических соединений

8.

N:
..
N
H
..
N
пиррольный
азот
H
p,π-сопряженные системы
4n+2=6
n=1
пиридиновый
азот

9.

N
..
пиридин
N
..
хинолин
p,π-сопряженные системы
4n+2=6
n=1
4n+2=10
n=2

10.

11.

Реакции электрофильного
замещения
..
N
H
β
α
π-избыточная
система, реакции SE
протекают легче,
чем в бензоле
N
..
π-недостаточная
система, реакции SE
протекают труднее,
чем в бензоле

12.

Реакции электрофильного
замещения
..
N
H
α + Br2
N
H
Br
+ HBr
α-бромпиррол
β
N
..
Br
Br2, FeBr3
300oC
N
β-бромпиридин

13.

Кислотные и основные свойства
гетероциклических соединений

14.

Кислотные свойства пиррола
..
N
H
K
- H2
H2O
-
N
K+
пиррол
калий
N
H
+ KOH

15.

Основные свойства пиррола:
..
N
H
+ HNO3
+
NO3-
N
H
H
полимеризация
+
N
H
H
n

16.

Основные свойства пиридина
+ HCl
N
..
+
Cl -
N
H
пиридиния хлорид

17.

Основные свойства пиридина
+ H2O
N
..
+
OH -
N
H
пиридиния гидроксид

18.

Основные свойства пиримидина
N:
N:
+ H2SO4
N
..
+
N
HSO4 -
H
пиримидиния
гидросульфат

19.

Кислотные и основные свойства
имидазола
N:
..
N
кислотный
центр
H
основный
центр

20.

Кислотные и основные свойства
имидазола
+ H
N
HCl
N:
N
H
..
N
H
Cl-
имидазолия гидрохлорид
N
K
-
N
K
+
имидазол
калий

21.

Производные пятичленных
гетероциклов
с одним гетероатомом

22.

Восстановление (гидрирование) пиррола:
[H]
[H]
..
..
N
H
..
N
H
N
H
пиррол
пирролин
пирролидин

23.

N
N
CH3
никотин
N
H
пролин
COOH

24.

Тетрапиррольные соединения
..
N
H
N
4n+2=26
n=6
N
H
N
..
порфин
Энергия сопряжения
840 кДж/моль

25.

Тетрапиррольные соединения
CH=CH2
H3C
..
N
H
H3C
N
HOOC-CH2-CH2
CH3
N
CH=CH2
H
N
..
HOOC-CH2-CH2
CH3
протопорфирин

26.

Тетрапиррольные соединения
..
N
N Fe N
HOOC
N
..
HOOC
гем

27.

Гемоглобин
[O]
COOH COOH
O
N
H
CH
N
H
CH2
билирубин
N
H
CH
N
H
O

28.

4
β
5
3
6
2 α
7
N1
H
индол
(бензпиррол)

29.

Неокислительное
декарбоксилирование триптофана
CH2-CH-COOH
NH2
N
H
ферменты
CH2-CH2
NH2
N
H триптамин
+ CO2

30.

Окислительное
декарбоксилирование триптофана
CH2-CH-COOH
NH2
N
H
[O] ферменты
ферменты
HO
HO
5
5
CH2-CH-COOH
CH2-CH2
NH2
NH2
N
NH
H
5-гидрокситриптамин
5-гидрокситриптофан
серотонин

31.

CH2-COOH
CH3O
N
CH3
O=C
Индометацин
Cl

32.

Окисление фурфурола
O
C
фурфурол
O
H
+ Ag(NH3)2OH
O
C
O
OH
фуранкарбоновая
кислота
+ Ag + NH3 + H2O

33.

C
O
O
H
HNO3
O2N
(CH3CO)2O
O
O
C
O
H
5-нитрофурфурол
H2N-NH-C-NH2
семикарбазид
O2N
O
CH=N-NH-C-NH2
O
семикарбазон
5-нитрофурфурола
фурацилин

34.

Производные пятичленных
гетероциклов с двумя
гетероатомами

35.

N
-CO2
N
H
CH2-CH-COOH
NH2
гистидин
N
N
H
CH2-CH2-NH2
гистамин

36.

3
4
5
1
N
H
N2
пиразол
1
3
O
2
NH
N
H
пиразолон-3(5)

37.

Производные пиразолона-3(5)
H3C
H3C
CH3
N
O
N
N
CH3
C6H5
амидопирин
NaSO3- H2C
H3C
N
CH3
O
N
N
C6H5
анальгин
CH3

38.

Производные пиразолона-3(5)
H9C4
O
O
N
N
C6H5
бутадион
C6H5

39.

Производные шестичленных
гетероциклов
с одним гетероатомом

40.

Производные пиридина

41.

Нуклеофильные свойства пиридина
δ+
+ CH3
..N
I
+
I-
N
CH3
N-метилпиридиния
иодид

42.

H
δ+
H
Hδ+
+
N
δ+
[O]
N
CH3
CH3
N-метилпиридиний
катион
1,4-дигидроN-метилпиридин

43.

никотинамид
аденин
O
C
NH2
+
N
NH2
O
N
O
CH2 -O-P-O-P-O-CH2
OH
HO
O
N
O
OH OH
OH
OH
Никотинамидадениндинуклеотид (НАД+)
N
N

44.

НАД+
O
H
H
H-
C
NH2
N
O
NH2
N
O
CH2 -O-P-O-P-O-CH2
OH
HO
O
O
OH OH
OH
НАДН
N
OH
N
N

45.

O
C
NH2
+
фермент
N
+ H-Субстрат-H
R
восстановленная
форма
НАД+
H
O
H
C
N
R
NH2
НАДH
+
Субстрат
+
H
+
окисленная
форма

46.

H
H
O
C
CH2 OH
HO
O
O
C
CH2 O-P-OH
HO
OH
H3 C
N
пиридоксаль
Витамин B6
H3 C
N
пиридоксаль
фосфат

47.

O
C
NH2
O
COOH N
C
никотинамид Cl
SOCl
NH3
CH3
[O]
N
β-пиколин
2
Витамин
PP
N
N
никотиновая
кислота
Витамин PP
(C2H5)2NH
хлорангидрид
никотиновой
O
кислоты
CH
C
N
2
5
N
C2H5
кордиамин

48.

CH3
O
C
Cl
COOH
[O]
N
γ-пиколин
SOCl2
N
N
изоникотиновая
кислота
O
C
NH-NH2
хлорангидрид
изоникотиновой
кислоты
NH2NH2
гидразид
N
изоникотиновой
кислоты (Тубазид)

49.

NaOH
N
ONa
N
OH
HCl
+
8-оксихинолин
Оксин
N
OH
H
Cl-

50.

Fe2+
(1:1)
N
..
OH
N
..
O
Fe+
проявляет антимикробное
действие

51.

N
..
O
Fe2+
N
..
OH
(2:1)
Fe
..
N
O
не проявляет антимикробного
действия

52.

NO2
HNO3
+ H2O
N
N
OH
8-гидроксихинолин
OH
8-гидрокси-5-нитрохинолин (Нитроксолин,
5-НОК)

53.

Производные пиримидина

54.

O
H
N3
4
5
2
1
O
O
N
H
H
H
N3
4
5
2
6
1
O
O
N
R
R’
6
O
H
H
барбитуровая
кислота
общая формула
барбитуратов

55.

O
H
N3
4
5
2
1
O
O
H
H
H
O:
O
H
N
6
N
N
OH
H
H
барбитуровая
кислота
енольный таутомер
кето-таутомер

56.

:O
H
N3
4
5
2
1
O
OH
H
H
H
H
N
6
N
H
лактамный
таутомер
O
HO
N
лактимный
таутомер
O

57.

O
кето-фрагмент
O
H
H
лактамные H N
фрагменты
N
O
H
кето-енольная таутомерия H N
OH
N
O
O
енольный
фрагмент
H
H
триоксоформа
лактам-лактимная
таутомерия
лактам-лактимная
таутомерия
OH
OH
лактимные
фрагменты
N
H
H
N
HO
кето-енольная таутомерия
N
O
HO
N
OH
тригидроксиформа

58.

Лактам-лактимная таутомерия
барбитуратов
O
O
H
N3
5
2
H
N
N3
5
1
O
HO
H
O
H
4
N3
5
2
1
NaO
4
2
6
1
O
R
R’
4
N
R
R’
6
O
натриевая соль
N
6
лактимная
форма
NaOH
R
R’
O

59.

NH2
N
H3 C
N
CH2
+
N
CH3
S
Тиамин (витамин B1)
CH2 -CH2 -OH

60.

NH2
N
H3 C
N
CH2
+
N
CH3
S
O
O
CH2 -CH2 -O-P-O-P-OH
OH O
Кокарбоксилаза

61.

Пурин и его производные

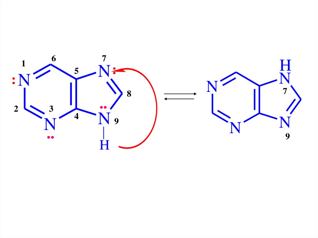
62.

1
6
5
:N
2
7
3
N
..
N:
..
4
пурин
N9
H
8

63.

Na
N
N
основный центр
N:
:N
..
N
..
N
натриевая соль
пурина
N
H
HCl
N
Na
H
+
N Cl-
N
кислотный центр
N
N
пуриния хлорид H

64.

1
6
5
:N
2
7
3
N
..
..
4
H
N
N:
N9
H
8
N
7
N
N
9

65.

Гидроксипурины
O
HN
6
O
H
N
6
HN
H
N
2
N
N
гипоксантин
O
6
HN
H
N
8
2
O
O
N
H
N
H
мочевая кислота
N
H
ксантин
O
N

66.

Метилированные ксантины
O
H3 C N
O
N
O
H
N
N
CH3
теофиллин
1,3-диметилксантин
N
HN
O
CH3
N
N
CH3
теобромин
3,7-диметилксантин

67.

Метилированные ксантины
O
N
H3 C N
O
CH3
N
N
CH3
кофеин
1,3,7-триметилксантин

68.

Мочевая кислота
O:
O
H
NaOH
N
HN
H
N
HN
ONa
O
N
N
H O H H
O
O
ONa
NaO
N
N
кислый урат натрия
N
HN
N
H
N
средний урат натрия
NaOH
English     Русский Правила