180.58K
Категория:
Математика
Похожие презентации:
Формула суммы n первых членов геометрической прогрессии
Формула суммы n первых членов геометрической прогрессии
Формула суммы n первых членов геометрической прогрессии
Формула суммы первых n-членов геометрической прогрессии
Формула суммы n первых членов геометрической прогрессии
Формула суммы первых n членов геометрической прогрессии
Формула суммы n первых членов геометрической прогрессии
Формула суммы n первых членов геометрической прогрессии
Формула суммы n первых членов геометрической прогрессии
Формула суммы n первых членов геометрической прогрессии
Геометрическая прогрессия. Формула суммы членов конечной геометрической прогрессии
1.
2.
Формула n-го члена
геометрической прогрессии
bn b1 q
n 1
3.
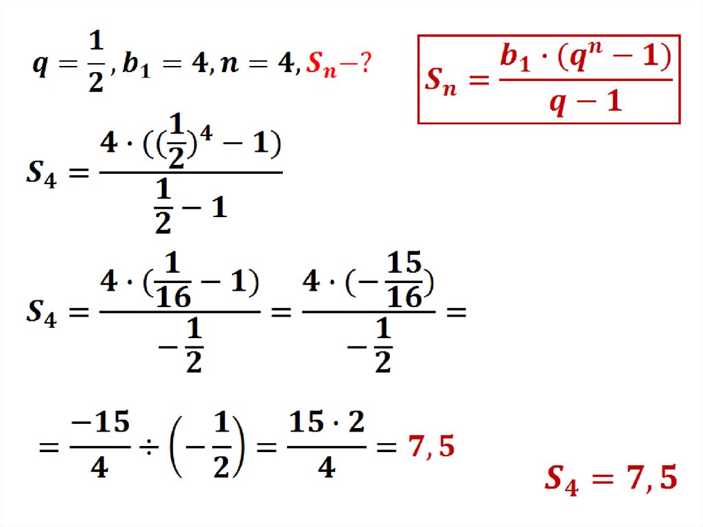
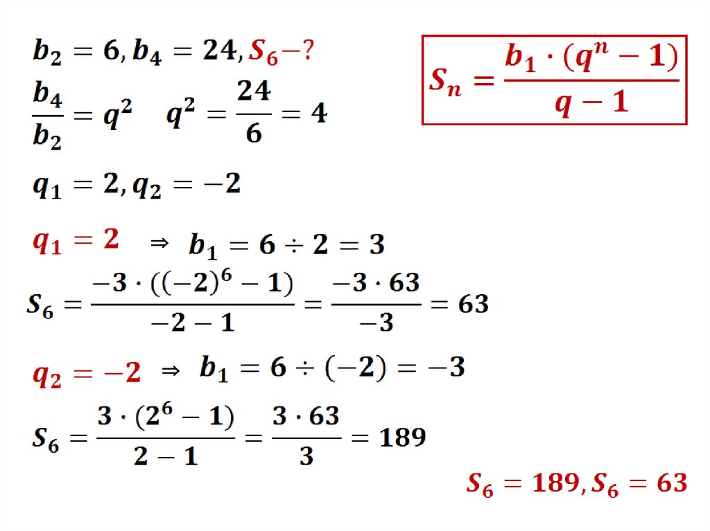
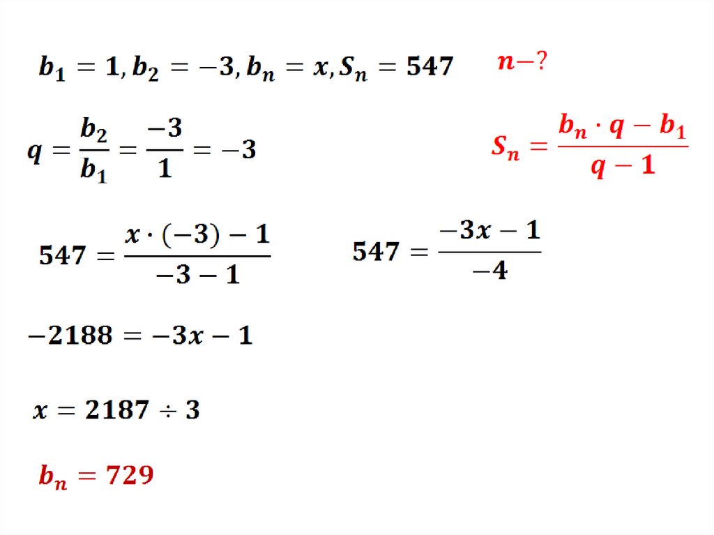
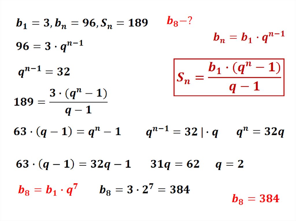
bn q b1
Sn
q 1
( )
b1 (q 1)
Sn
q 1
( )
n
4.
5.
English
Русский
Правила