ФИЗИКА
Проводники в электрическом поле
Диэлектрики
Поляризация диэлектриков.
Энергия заряженного конденсатора.
Законы постоянного тока
Сила тока
Сопротивление
Определение сопротивления
Закон Ома для однородного участка цепи.
Закон Ома для полной цепи.
Работа и мощность тока.
Мощность
Закон Джоуля-Ленца.
Виды соединения конденсаторов
Виды соединения резисторов
Магнитное поле
Рабочая тетрадь страница 54- 60 Задачи № 2, 5, 9, 11
Источники магнитного поля
Магнитная индукция
Магнитное поле прямого проводника с током
Ориентация магнитного поля проводника с током (правило правой руки)
Сила Ампера – сила действия магнитного поля на проводник с током
Правило левой руки
Сила Лоренца
Правило левой руки
Электромагнитная индукция
Магнитный поток
ЭДС индукции Закон Фарадея
Направление индукционного тока
Правило Ленца
Самоиндукция. Индуктивность
Индуктивность
Явление самоиндукции при замыкании и размыкании электрической цепи
Взаимная индукция
Магнитные свойства вещества
ДИАМАГНЕТИКИ
ПАРАМАГЕТИКИ
ФЕРРОМАГНЕТИКИ
Температурная зависимость
Литература по материалу
Механические колебания
Свободные колебания
Период колебаний
МАТЕМАТИЧЕСКИЙ МАЯТНИК
ПРУЖИННЫЙ МАЯТНИК
Превращение энергии при колебательном движении
Превращение энергии при колебательном движении
Полная энергия колебаний
Вынужденные колебания
Свободные затухающие колебания
Вынужденные колебания
Явление резонанса
Литература по материалу
Дополнительная информация
Упругие волны
Упругие волны
Упругие волны
ПОПЕРЕЧНЫЕ ВОЛНЫ
ПРОДОЛЬНЫЕ ВОЛНЫ
Уравнение плоской волны
Сферическая волна
Звук как волна
Для существования звука необходимы :
Скорость звука в воздухе:
Инфразвук и ультразвук
Эхолокация
Электромагнитные колебания и волны.
ПЕРИОД
Связь уравнений колебаний
Преобразование энергии
Преобразование энергии
Электромагнитное поле
Электромагнитные волны
Электромагнитные волны
Графическая иллюстрация
ИНТЕРФЕРЕНЦИЯ ВОЛН
Условия интерференционных максимумов и минимумов
Условия интерференционных максимумов и минимумов
Классический опыт Юнга
Интерференция в тонких пленках
Кольца Ньютона
Д И Ф Р А К Ц И Я С В Е Т А
Принцип Гюйгенса-Френеля для плоской и сферической волн
Виды дифракции
Дифракция света от многих щелей. Дифракционная решетка
Дифракция на пространственной решетке
Литература по материалу
Геометрическая оптика
Закон прямолинейного распространения света
Законы отражения света
Построение изображения в плоском зеркале
Задача. На предмет AB высотой h, стоящий на плоском зеркале, падает параллельный пучок лучей. Определите размер геометрической
Задача. Угол между двумя зеркалами составляет. Докажите, что любой луч, попавший на одно из зеркал после двойного отражения
Законы преломления света
Законы преломления света
Явление полного внутреннего отражения
Построение изображений в собирающей линзе
Построение изображений в рассеивающей линзе
Построение изображений в рассеивающей линзе
Глаз как оптическая система
ТЕСТ
Испарение, сублимация, плавление и кристаллизация. Аморфные тела. Фазовые переходы I и II рода
ФАЗОВЫЕ РАВНОВЕСИЯ
ПРАВИЛО ФАЗ ГИББСА
ПРАВИЛО ФАЗ ГИББСА
ЗАДАЧА
физико – химический анализ
7.53M
Категория: ФизикаФизика

Электростатика

1. ФИЗИКА

Молчанов Иван
Игоревич
1

2.

Электростатика

3.

Электрический заряд и электрическое поле
Все тела в природе состоят из мельчайших частиц, которые
условно названы элементарными. Элементарные частицы
характеризуются массой и электрическим зарядом.
Сила электромагнитного взаимодействия частиц на много
порядков
превышает
силу
их
гравитационного
взаимодействия.
Значение
силы
электромагнитного
взаимодействия частиц определяется их электрическими
зарядами.
3

4.

4

5.

Модель атома
5

6.

1. Нейтральный атом содержит одинаковое
количество протонов и электронов
2. Изменить заряд атома можно только за счет
изменения количества электронов
6

7.

7

8.

Закон сохранения заряда
8

9.

Закон сохранения заряда
9

10.

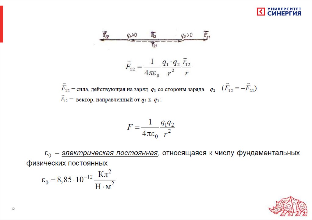
Закон Кулона: сила взаимодействия двух неподвижных
точечных зарядов, находящихся в вакууме, прямо
пропорциональна величине каждого из зарядов и обратно
пропорциональна квадрату расстояния между ними.
Направление силы совпадает с соединяющей заряды прямой.
Точечным зарядом называют заряженное тело, размерами
которого можно пренебречь по сравнению с расстоянием от
этого тела до других тел, несущих электрический заряд.
10

11.

Ш. Кулон проводил эксперименты с помощью крутильных
весов. По углу закручивания упругой нити он измерял силу
отталкивания одноименно заряженных шариков, а по шкале
прибора – расстояние между ними. В результате этих опытов
Кулон заключил, что сила взаимодействия двух точечных
зарядов направлена вдоль линии, соединяющей оба заряда, и
обратно пропорциональна квадрату расстояния между
зарядами:
1
F~ 2
r
11

12.

12

13.

13

14.

Электрическое поле
14

15.

15

16.

Направление вектора напряженности совпадает (по
определению) с направлением силы, действующей на
положительный заряд. Графически электростатическое
поле можно изобразить при помощи силовых линий
(линий вектора напряженности). Силовыми линиями
называют линии, касательные к которым в каждой точке
совпадают с направлением вектора напряженности
электрического поля. Силовые линии считаются
направленными так же, как и вектор напряженности.
16

17.

Суперпозиция (наложение) полей.
Согласно принципу суперпозиции
напряженность электрического поля,
создаваемого системой зарядов, равна
геометрической сумме напряженностей полей,
создаваемых в данной точке пространства
каждым из зарядов в отдельности.
17

18.

Суперпозиция (наложение) полей.
Принцип суперпозиции электрических
полей для дискретного распределения зарядов
в пространстве:
18

19.

Работа электростатического поля
Пусть поле, созданное зарядом Q , перемещается другой
точечный заряд q, переходя из начального положения 1 в
конечное положение 2 вдоль произвольной кривой 12.
Работа, совершаемая силами поля при таком перемещении,
дается выражением
1 1
A
qQ
4 0
r1 r2
1
19

20.

Из данной формулы видно, что при любом выборе начальной и
конечной точек 1 и 2 работа A не зависит от формы пути, а
определяется только положениями этих точек.
Силовые поля, удовлетворяющие такому условию, называются
потенциальными или консервативными.
Следовательно, электростатическое поле точечного заряда есть
поле потенциальное.
20

21.

Потенциал электростатического
поля.
Для потенциальных полей можно ввести понятие потенциала.
21

22.

Потенциал может быть положительным или отрицательным, в
зависимости от знака заряда, который его создает.
Если нас интересует потенциал, созданный системой точечных
зарядов, то нужно просто сложить потенциалы, создаваемые в данной
точке отдельными зарядами
1 2 ... n
22

23.

Графически электрическое поле можно изображать не только с помощью
линий напряженности, но и с помощью эквипотенциальных
поверхностей (линий) – совокупностей точек, имеющих одинаковый
потенциал.
23

24.

Отметим два важных свойства эквипотенциальных поверхностей:
1) в каждой точке эквипотенциальной поверхности вектор
напряженности поля перпендикулярен ей и направлен в сторону
убывания потенциала;
2) работа по перемещению заряда по эквипотенциальной
поверхности равна нулю.
24

25. Проводники в электрическом поле

Проводниками
называют
вещества,
содержащие свободные заряженные частицы.
Носители заряда в проводнике способны
перемещаться под действием сколь угодно
малой силы.
25

26.

Поэтому равновесие зарядов в проводнике может наблюдаться лишь при
выполнении следующих условий:
1. Напряженность поля всюду внутри проводника должна быть равна нулю.
2. Напряженность поля на поверхности проводника должна быть в каждой точке
направлена по нормали к поверхности (в противном случае будет существовать
движение зарядов по поверхности).
26

27.

Перераспределение носителей заряда происходит до тех пор, пока не
будут выполнены условия равновесия зарядов на проводнике, т, е. пока
напряженность поля внутри проводника не станет равной нулю, а линии
напряженности вне проводника перпендикулярными к его поверхности.
Следовательно, нейтральный проводник, внесенный в электрическое
поле, разрывает часть линий напряженности – они заканчиваются на
отрицательных индуцированных зарядах и вновь начинаются на
положительных.
27

28. Диэлектрики

Диэлектрики – это вещества, не содержащие
свободных заряженных частиц (т. е. таких
заряженных частиц, которые способны свободно
перемешаться по всему объему тела).
Существует два основных вида диэлектриков:
неполярные и полярные.

29. Поляризация диэлектриков.

При помещении диэлектриков во внешнее электрическое поле происходит
процесс их поляризации. Электрической поляризацией называют особое
состояние вещества, при котором электрический момент некоторого объема
этого вещества не равен нулю.

30.

Конденсаторы.
Конденсаторы – это обычно система из двух
проводников, называемых обкладками и разделенных
диэлектриком, толщина которого мала по сравнению с
размерами обкладок.
Обкладки конденсатора располагают таким образом, чтобы поле,
создаваемое зарядами, находящимися на обкладках, было сосредоточено в
пространстве между ними.
30

31.

Электроемкость проводников.
C
q
Это соотношение указывает, что емкость уединенного проводника есть
физическая величина, численно равная количеству электричества, которое
надо сообщить ранее не заряженному проводнику, чтобы потенциал его
принял значение, равное единице.
В системе СИ за единицу емкости принято брать емкость такого проводника,
увеличение на котором заряда на один кулон ведет к повышению его
потенциала на один вольт. Такая единица называется фарадом (Ф).
31

32.

Простейшими являются плоские конденсаторы – система двух
плоскопараллельных проводящих пластин – обкладок, разделенных
диэлектриком. Емкость плоского конденсатора вычисляется по формуле
S 0
C
d
32

33. Энергия заряженного конденсатора.

q
q 1 2 С 1 2
W
2C
2
2
2
2

34. Законы постоянного тока

Упорядоченное движение электрических зарядов называется
электрическим током.
Для появления и существования тока проводимости необходимы два условия:
Первое – наличие в данной среде носителей заряда, т.е. заряженных частиц,
которые могли бы в ней перемещаться.
Второе – наличие в данной среде электрического поля, энергия которого
затрачивалась бы на перемещение электрических зарядов.

35. Сила тока

Основной единицей в СИ является единица силы тока – ампер (А). При
силе тока 1 А через сечение проводника в 1 с проходит заряд, равный 1 Кл,
следовательно, 1 Кл = 1 А с.
q
I
t

36. Сопротивление

37. Определение сопротивления

38.

39. Закон Ома для однородного участка цепи.

U
I
R

40. Закон Ома для полной цепи.

ЭДС (электродвижущая сила) — это сила, которая движет заряженные
частицы в цепи. Она берётся из источника тока, например, из батарейки.
ЭДС измеряется в Вольтах
I = E /(R + r)

41. Работа и мощность тока.

Работа, совершаемая электрическим полем на определенном участке
электрической цепи, называется работой тока.
A q 1 2 I 1 2 t IUt

42. Мощность

Единицей мощности в СИ служит ватт (Вт).
A
N IU
t

43. Закон Джоуля-Ленца.

Количество теплоты, выделяемое в
проводнике при протекании в нем постоянного
тока, равно произведению квадрата силы тока,
сопротивления проводника и времени
прохождения тока.
Q I Rt
2
Q IUt

44. Виды соединения конденсаторов

45. Виды соединения резисторов

46. Магнитное поле

Магнитное поле проявляется тогда, когда имеется электрическое
поле и когда при этом электрическое поле перемещается.
Например, магнитным полем всегда окружен проводник, по
которому идет ток
Так же проявляется при движении электронов в атомах, при
вибрациях атомных ядер в молекулах, при изменении ориентации
элементарных диполей в диэлектриках и т. д.

47. Рабочая тетрадь страница 54- 60 Задачи № 2, 5, 9, 11

48. Источники магнитного поля

49. Магнитная индукция

Магнитная индукция – вектор, направление
которого определяется равновесным
направлением положительной нормали к
пробному контуру (мы назвали его
направлением поля).
Поле вектора B можно представить наглядно с помощью линий
магнитной индукции – линий, проведенных в магнитном поле так, что вектор B
в каждой точке этой линии направлен по касательной к ней.

50.

51.

52.

53. Магнитное поле прямого проводника с током

54. Ориентация магнитного поля проводника с током (правило правой руки)

1. Большой палец по
направлению тока
2. Четыре загнутых пальца
правой руки показывают
направление магнитных
линий

55. Сила Ампера – сила действия магнитного поля на проводник с током

F IB l sin

56. Правило левой руки

1. Магнитные линии входят в ладонь
2. 4 пальца направлены по линии тока
3. Большой палец отогнутый на 90
градусов показывает направление
силы Ампера

57.

58. Сила Лоренца

Магнитное поле действует не только на проводники с током, но и на
отдельные электрические заряды, движущиеся в поле. Этот вывод
подтверждается целым рядом опытных фактов и, в частности, тем, что пучок
свободно летящих заряженных частиц, например, электронный пучок,
отклоняется магнитным полем.
Fл qvB sin

59. Правило левой руки

1. Магнитные линии входят в ладонь
2. 4 пальца направлены по скорости
положительной частицы, либо против
скорости отрицательной
3. Большой палец, отогнутый на 90
градусов показывает направление
силы Лоренца

60.

61.

62.

63. Электромагнитная индукция

Электромагнитная индукция –
явление возникновения
электрического тока в замкнутом
контуре при изменении во времени
магнитного поля или при движении
контура в магнитном поле.

64. Магнитный поток

BS cos
Магнитный поток есть скалярная величина, равная
полному числу линий магнитной индукции, проходящих
через данную поверхность.
Магнитный поток выражается в системе СИ в веберах (Вб).

65. ЭДС индукции Закон Фарадея

ЭДС индукции в замкнутом контуре равна и
противоположна по знаку скорости изменения
магнитного потока через поверхность,
ограниченную контуром:
Ei
t

66. Направление индукционного тока

67. Правило Ленца

При всяком изменении магнитного потока
сквозь замкнутый контур,
возникает индукционный ток такого
направления, что его магнитное поле
противодействует изменению магнитного
потока.
https://www.youtube.com/watch?v=TQBV5LnvraU

68. Самоиндукция. Индуктивность

Электрический ток I, текущий в любом
контуре, создает пронизывающий этот
контур магнитный поток Ф. При
изменениях I будет изменяться также Ф
и, следовательно, в контуре будет
индуцироваться ЭДС. Это явление
называется самоиндукцией

69. Индуктивность

Отсюда вытекает, что ток в контуре I и создаваемый
им полный магнитный поток через контур Ф друг
другу пропорциональны:
Ф = LI
За единицу индуктивности в СИ принимается
индуктивность такого проводника, у которого при силе
тока в нем в 1 А возникает полный поток Ф, равный 1
Вб. Эту единицу называют генри (Гн).

70. Явление самоиндукции при замыкании и размыкании электрической цепи

71.

72. Взаимная индукция

73. Магнитные свойства вещества

Магнитная проницаемость – это
физическая скалярная величина,
показывающая, во сколько раз индукция
магнитного поля в данном веществе
отличается от индукции магнитного поля
в вакууме.
https://www.youtube.com/watch?v=EtCBW5X3gjU

74. ДИАМАГНЕТИКИ

Диамагнетики – вещества, у которых магнитная
проницаемость чуть меньше единицы. К таким веществам
относятся золото, серебро, углерод, висмут.
Незначительно ослабляют магнитное поле
Значит, магнитное поле ослабляется, когда в него помещают
это вещество В˂В0. Это означает, что вектор магнитной
индукции поля, создаваемого веществом направлен
противоположно вектору магнитной индукции поля,
создаваемого током.

75. ПАРАМАГЕТИКИ

Парамагнетики – вещества, у которых магнитная
проницаемость чуть больше единицы. Это алюминий,
вольфрам, щелочные металлы, магний, платина.
Незначительно усиливают магнитное поле
Эти вещества намагничиваются очень слабо,
намагничиваются вдоль намагничивающего поля. Вектор
магнитной индукции поля, создаваемого веществом,
направлен в ту же сторону, что и вектор магнитной
индукции поля, создаваемого током.

76. ФЕРРОМАГНЕТИКИ

Ферромагнетики – вещества у которых
магнитная проницаемость много больше
единицы. Это железо, никель, кобальт, и сплавы
металлов.
Значительно усиливают магнитное поле
https://www.youtube.com/watch?v=rp6hdFO87G0

77. Температурная зависимость

При нарастании температуры
намагниченность ферромагнетиков
уменьшается и обращается в ноль в точке
Кюри.
https://www.youtube.com/watch?v=BFod_czyfAU
https://www.youtube.com/watch?v=yXtP65m3Z8w

78. Литература по материалу

Теоретический материал по разделу " Электродинамика " из
учебника "ФИЗИКА" (под ред. Ж.В. Мекшеневой) со стр. 145 по
стр.150

79. Механические колебания

Колебаниями называются процессы,
отличающиеся той или иной степенью
повторяемости.
Таким свойством повторяемости обладают,
например, качания маятника часов, колебания
струны или ножек камертона, напряжение
между обкладками конденсатора в контуре
радиоприемника и т. п.

80. Свободные колебания

Свободными или собственными называются такие
колебания, которые происходят в системе,
предоставленной самой себе после того, как ей был
сообщен толчок, либо она была выведена из
положения равновесия.
Примером могут служить колебания шарика,
подвешенного на нити (маятник). Для того чтобы
вызвать колебания, можно либо толкнуть шарик,
либо, отведя в сторону, отпустить его.

81.

• Простейшими являются гармонические
колебания, т. е. такие колебания, при которых
колеблющаяся величина (например,
отклонение маятника) изменяется со
временем по закону синуса или косинуса.
• https://www.youtube.com/watch?v=1_VhWCI1R8Q

82.

x x0 cos 0 t 0

83.

• Величину x0, равную максимальному
смещению шара из положения равновесия,
называют амплитудой колебаний.
• величину 0 называют начальной фазой
колебания. Фазу измеряют в радианах.
• Величину 0, входящую в выражение для фазы
колебания, называют циклической (или
круговой) частотой колебаний.

84. Период колебаний

• Период – время одного полного колебания
T
2
0
• https://vkvideo.ru/video-190973879_456240098

85. МАТЕМАТИЧЕСКИЙ МАЯТНИК

• Математическим маятником называют материальную точку,
подвешенную на невесомой, нерастяжимой нити и совершающую
колебания в вертикальной плоскости под действием силы тяжести
l
T 2
g
где l –длина маятника.
• https://vkvideo.ru/video-79736128_456239352

86. ПРУЖИННЫЙ МАЯТНИК

Пружинный маятник это колебательная система,
состоящая из материальной точки массой m и
пружины с жесткостью k
https://vkvideo.ru/video-221631774_456239067

87. Превращение энергии при колебательном движении

Потенциальная энергия пружины
kx
Eп
2
2
x x0 cos 0 t 0
2
kx
1 2
2
Eп
kx0 cos 0 t 0
2
2

88. Превращение энергии при колебательном движении

• Кинетическая энергия
mv

2
2
v x0 0 sin 0 t 0
2
mv
1 2 2 2

mx0 0 sin 0 t 0
2
2

89. Полная энергия колебаний

1 2 2
1 2 2
2
2
E Eп Eк mx0 0 cos 0t 0 sin 0t 0 mx0 0
2
2
• https://www.youtube.com/watch?v=eb67nlpiVgY

90. Вынужденные колебания

• Вынужденными называются такие колебания,
в процессе которых колеблющаяся система
подвергается воздействию внешней
периодически изменяющейся силы.
• Примером могут служить колебания моста,
возникающие при прохождении по нему
людей, шагающих в ногу.
• https://vkvideo.ru/video-153078607_456239103

91. Свободные затухающие колебания

x x0 e
t
cos 0t 0
• https://vkvideo.ru/video270324250_456239095

92. Вынужденные колебания

Fвн F0 cos t
F0
x
cos
t
2
2
m 0
• https://vkvideo.ru/video-217667960_456246918
• https://vkvideo.ru/video99959479_171441417

93. Явление резонанса

Резонанс – резкое возрастание амплитуды колебаний
при совпадении внешней частоты и собственной
https://vkvideo.ru/video-67417686_456242028

94. Литература по материалу

Теоретический материал по разделу «Колебания" из учебника
"ФИЗИКА" (под ред. Ж.В. Мекшеневой)

95. Дополнительная информация


https://www.youtube.com/watch?v=uB91f6DGTVQ
https://www.youtube.com/watch?v=_XbGCogAOgc
Маятник на подложке
https://vkvideo.ru/video-113429948_456239051
Система маятников
https://vkvideo.ru/video4927355_456239030
https://vkvideo.ru/video-95763125_456239137
Маятник Галилея
https://vkvideo.ru/video-226569612_456239344
Маятник Максвелла
https://vkvideo.ru/video-226569612_456239343
Маятник Фуко
https://vkvideo.ru/video-79168331_456239087
https://vkvideo.ru/video21741100_456239058
https://vkvideo.ru/video-138419143_456239285
Маятник Горелика
https://vkvideo.ru/video-67417686_456241981
Маятник Уилберфорса
https://vkvideo.ru/video-67417686_456242334

96. Упругие волны

1. Эхолокация
2. Медицина (УЗИ, волновая терапия)
3. Радиосигналы
4. Сотовая, спутниковая связь
5. Исследование космоса

97. Упругие волны

Упругой волной называют процесс
распространения возмущения в упругой среде.

98. Упругие волны

Происходит распространение именно
возмущения частиц среды, но сами частицы
испытывают движения около своих
положений равновесия.
Среду при этом рассматривают как сплошную
и непрерывную, отвлекаясь от ее
атомистического строения.
• https://www.youtube.com/watch?v=8a0_eND7VPs
• https://vkvideo.ru/video-217398705_456239027

99. ПОПЕРЕЧНЫЕ ВОЛНЫ

• Обычные волны на поверхности воды
• это свет. Электромагнитные волны
• звук в твердом теле

100. ПРОДОЛЬНЫЕ ВОЛНЫ

• направление колебаний параллельно
направлению распространения.
• Примером продольной волны является звук в газе
или жидкости

101. Уравнение плоской волны

s A cos t kx
Волновое число
k
2
https://www.youtube.com/watch?v=JFR0VVZjj0k

102. Сферическая волна

В сферической волне амплитуда убывает обратно
пропорционально расстоянию r от источника
колебаний. Зависимость смещения от координат и
времени имеет вид:
A
s cos t kr
r
https://www.youtube.com/watch?v=MnXeX7AjqJM

103. Звук как волна

Звуковая волна — механические
колебания, распространяющиеся
в упругих средах: газах,
жидкостях и твёрдых телах,
невидимые, но воспринимаемые
органами слуха

104. Для существования звука необходимы :

Приёмник
звука
Передающая
среда
Газ
Жидкость
Твёрдое тело
Источник
звука

105.

Почему нельзя услышать звон колокола,
находящегося внутри сосуда, из которого откачан
воздух?
1660 г. анг.
физик
Звук распространяется в любой
Р. Бойль упругой среде – твердой, жидкой и
газообразной, но не может
распространяться в пространстве,
где нет вещества.

106. Скорость звука в воздухе:

• Скорость звука в воздухе впервые была
измерена в 1636г. Французским ученым
М Мерсенном.
t 20 C в воздухе зв 343м / с
0
0
зв 1235км / ч
t 0 C в воздухе зв 331м / с
0
0
• Скорость звука в воздухе впервые была
измерена в 1708г. английским
естествоиспытателем Уильямом Деремом.

107.

Скорость звука
- С увеличением плотности среды, скорость
звука увеличивается
Скорость звука зависит от вида среды, в которой он
распространяется, и от ее температуры. В газах звуковые волны
распространяются медленно, потому что их разреженная
молекулярная структура слабо препятствует сжатию. В
жидкостях скорость звука увеличивается, а в твердых телах
становится еще более высокой, как это показано на диаграмме

108.

Поглощение звука

109.

Поглощение звука
Пример задержки звуковой
волны трехкамерным
стеклопакетом

110.

Отражение звука

111.

Отражение звука
• Эхо - отраженный звук, воспринимаемый
раздельно от произнесенного звука.
s
t
2

112. Инфразвук и ультразвук

• Механические колебания с частотой большей чем 20 000 Гцназывают ультразвуком.
• Механические колебания с частотой меньшей чем 20 Гцинфразвуком

113. Эхолокация

• Определение расстояния до объекта с помощью ультразвука
h
t
2

114.

Звуковые волны могут распространяться
1) только в газах
2) только в жидкостях
3) только в твёрдых телах
4) в газах, жидкостях и твёрдых телах

115.

Примером продольной волны является
1) звуковая волна в воздухе
2) волна на поверхности моря
3) радиоволна в воздухе
4) световая волна в воздухе

116.

Длина звуковой волны зависит:
1) от амплитуды и частоты колебаний
2) только от скорости распространения звука
в данной среде
3)только от частоты колебательного движения
4) от скорости распространения звука в
данной среде и частоты колебаний

117.

Скорость распространения звука с увеличением плотности среды
при данной температуре….
1) Не изменяется
2) Уменьшается
3) Увеличивается
4) Ответ не однозначен

118. Электромагнитные колебания и волны.

Wmax Wэл
Wmax Wм
2
CU 0
2
2
LI0
2

119. ПЕРИОД

T 2 LC

120. Связь уравнений колебаний

Колебание заряда
Связь заряда и
напряжения
Q Q0 cos 0t 0
Q Q0
U
cos 0t 0 U 0 cos 0t 0
C C
Q
Связь заряда I
Q0 0 sin 0t 0 I 0 sin 0t 0
t
и тока

121. Преобразование энергии

122. Преобразование энергии

Wэл

2
2
0 LQ0
2
cos 0t 0
2
2
0 LQ0
2
2
sin 0t 0
2
W Wэл Wм
2
2
0 LQ0
2

123. Электромагнитное поле

• Согласно теории электромагнитного поля,
переменное электрическое поле порождает
переменное магнитное
• В результате образуется система «переплетенных»
между собой электрических и магнитных полей.
• Электромагнитное поле – особая форма материи. Оно
существует реально, т. е. независимо от нас, от наших
знаний о нем.

124. Электромагнитные волны

Переменные электрическое и магнитное поля
взаимосвязаны, они поддерживают друг друга и
могут существовать независимо от источника, их
породившего, распространяясь в пространстве в
виде электромагнитной волны.
Другими словами, электромагнитные волны –
это распространяющееся в пространстве
переменное электромагнитное поле.

125. Электромагнитные волны

1. Эхолокация
2. Медицина (МРТ, рентген, волновая терапия)
3. Радиосигналы
4. Сотовая, спутниковая связь
5. Исследование космоса

126. Графическая иллюстрация

• https://vkvideo.ru/video35150613_456239160
• https://vkvideo.ru/video67726165_456239017

127. ИНТЕРФЕРЕНЦИЯ ВОЛН

Постоянное во
времени явление
взаимного
усиления и
ослабления
колебаний в
разных точках
среды в
результате
наложения
когерентных волн
называется
интерференцией.
Условия
интерференции
Когерентные волны
Наложение
когерентных волн
Усиление или
ослабление волн в пространстве

128. Условия интерференционных максимумов и минимумов

Условие максимума
d k
Наблюдается светлая
полоса
Условие максимума
Условие max - амплитуда
колебаний частиц среды в данной
точке максимальна, если разность
хода двух волн, возбуждающих
колебания в данной точке, равна
целому числу длин волн.
d2 , d1 геометрический ход лучей;
d=d2-d1 геометрическая разность хода - разность расстояний от
источников волн до точки их интерференции;
Δd = d∙n - оптическая разность хода – геометрическая разность
хода, умноженная на относительный показатель преломления
среды.

129. Условия интерференционных максимумов и минимумов

Условие минимума
Условие min - амплитуда
колебаний частиц среды в
данной точке минимальна,
если разность хода двух
волн, возбуждающих
колебания в этой точке,
равна нечетному числу длин
полуволн
Условие минимума
d (2k 1)
2
Наблюдается тёмная
полоса

130. Классический опыт Юнга

https://vk.com/video-67417686_456242401
Интерференционн
ая картина:
чередующиеся
светлые и темные
полосы
Условие max:
Волны
интерфериру
ют в области
перекрытия
d- оптическая
разность хода
волн
d k
Условие min:
d (2k 1)
2
- длина волны
k 1, 2, 3...

131. Интерференция в тонких пленках

Когерентные
световые
волны,
отражающиеся
от верхней и
нижней
поверхности,
интерферируют
Результат
интерференци
и зависит от
толщины
пленки, угла
падения лучей
и длины
волны света
В белом света пленка имеет радужную окраску, т.к.
толщина пленки неодинакова и интерференционные
максимумы для волн разной длины наблюдаются в
разных местах пленки
https://vkvideo.ru/video-47125811_456239381

132. Кольца Ньютона

.
Волны 1 и 2
когерентны.
Волна 1 отражается
от границы стекловоздух
Волна 2 – от границы
воздух- стекло
https://vkvideo.ru/video-67417686_456242518
https://vkvideo.ru/video-65956552_456239163
Интерференц
и-онная
картина
возникает в
прослойке
воздуха между
стеклянными
пластинами

133. Д И Ф Р А К Ц И Я С В Е Т А

ДИФРАКЦИЯ СВЕТА
Дифракцией света называется явление отклонения
света от прямолинейного распространения в
оптически неоднородной среде с размерами
неоднородностей, соизмеримыми с длиной
волны

134. Принцип Гюйгенса-Френеля для плоской и сферической волн

Принцип Гюйгенса. Каждую точку
волнового фронта можно рассматривать
как новый источник “вторичных “
сферических волн, распространяющихся
вперед по всем направлениям, в том числе
и в область геометрической тени
препятствия
Предположение Френеля. Вторичные волны
когерентны и интерферируют друг с другом
https://vkvideo.ru/video-159645058_456239300

135. Виды дифракции

дифракция Френеля
дифракция Фраунгофера
(в сходящихся лучах)
(в параллельных лучах)
на препятствие падает
сферическая или плоская
волна, а дифракционная
картина наблюдается на
экране, который находится
позади препятствия
на конечном расстоянии
от него
на препятствие падает
плоская волна, а
дифракционная картина
наблюдается на экране,
который находится в
фокальной плоскости
собирающей линзы, (то есть,
в бесконечности)
https://vkvideo.ru/video-51126445_456243188

136. Дифракция света от многих щелей. Дифракционная решетка

https://vkvideo.ru/video-153378044_456239264

137.

138.

В тех направлениях, в которых ни одна из щелей не
распространяет свет, будут наблюдаться минимумы
с нулевыми значениями интенсивности
b sin 2m( 2) - условие главных минимумов
m = ±1, ± 2, . . .- порядок главного минимума
Действие одной щели будет усиливаться
остальными щелями, если
=DК= BDsin =dsin
d sin m - условие главных максимумов
где m = 0, ± 1, ± 2, . . . - порядок главного максимума

139. Дифракция на пространственной решетке

Δ=ED+DF=2dsin
2dsin = m - формула Вульфа – Брэгга

140. Литература по материалу

Теоретический материал по разделу «Колебания и Волны" из
учебника "ФИЗИКА" (под ред. Ж.В. Мекшеневой)

141. Геометрическая оптика

Геометрическая оптика – это раздел оптики,
изучающий законы распространения света в
прозрачных средах и его отражения от зеркальных или
полупрозрачных поверхностей.

142. Закон прямолинейного распространения света

В однородной прозрачной среде свет распространяется
прямолинейно.
Принцип Ферма: свет при распространении от одной точки
пространства до другой выбирает такой путь, который
потребует наименьшее время.

143. Законы отражения света

1. Падающий и отраженный лучи, а также нормаль к
отражающей поверхности, восстановленная в точке падения,
лежат в одной плоскости.
2. Угол падения равен углу отражения , где – угол между
падающим лучом и нормалью, – угол между отраженным
лучом и нормалью. Используя эти законы, мы определяем
направления лучей, отраженных от поверхности любой формы.

144. Построение изображения в плоском зеркале

145. Задача. На предмет AB высотой h, стоящий на плоском зеркале, падает параллельный пучок лучей. Определите размер геометрической

тени на экране.
h = B B = 2h

146. Задача. Угол между двумя зеркалами составляет. Докажите, что любой луч, попавший на одно из зеркал после двойного отражения

будет параллелен
падающему.
β = π/2 –
Катафоты – световозвращатели.

147.

Задача. Какой минимальной ширины должно быть
карманное зеркальце, чтобы человек мог увидеть
полностью свое лицо? Расстояние между глазами l,
ширина лица L.
l
x
L
x
;
d y y d y y
d L l
y
L l
L l
x
2

148. Законы преломления света

1. Падающий и преломленный лучи, а также нормаль к границе
раздела сред в точке падения лежат в одной плоскости.
2. Отношение синуса угла падения к синусу угла преломления
для данных двух сред есть величина постоянная и равна
относительному показателю преломления второй среды
sin
n
относительно первой
v1
n
v2
c
c
n1
n2
v1
v2
v1 n1
n
v2 n2
sin

149. Законы преломления света

150. Явление полного внутреннего отражения

n1 < n2 α < β
sin пр
sin 90
sin пр
1
sin пр n1 / n2
Световоды
n1
n2

151.

Задача. Кажущаяся глубина водоема h = 3 м.
Определите истинную глубину водоема h0. Показатель
преломления воды n = 1,33.
Решение.
ACD и ВCD
CD h tg h0 tgα
h tg
h0
tg
sinα 1
sinα tgα 1
sinβ n
sinβ tgβ n
h0 nh, h0 4м

152.

Линзы
Собирающие и рассеивающие линзы
D = 1/F – оптическая сила линзы
Единица оптической силы – 1 дптр – это оптическая
сила линзы с фокусным расстоянием, равным 1 м.

153.

Формула для оптической силы линзы
1
1
D (n – 1)
R
R
1
2
1
D
F

154. Построение изображений в собирающей линзе

155. Построение изображений в рассеивающей линзе

156.

Построение изображений в собирающей
линзе
Пример 1. Найдите ход луча АВ после преломления в
собирающей линзе.

157. Построение изображений в рассеивающей линзе

Пример 2. Известен ход луча SA после его
преломления в рассеивающей линзе. Найдите с
помощью геометрического построения положение
главных фокусов линзы.

158.

Задача. На каком расстоянии от рассеивающей линзы с
оптической силой D = –4 дптр нужно поместить предмет, чтобы
его мнимое изображение получилось в 4 раза меньше самого
предмета.
Решение.
1 f
4 d
d
f
4
1 1
3
D
d f
d
d 0 ,75 м

159. Глаз как оптическая система

Нормальный глаз – глаз, для которого расстояние наилучшего
зрения 25 см, а предел зрения бесконечен. Сетчатая оболочка
состоит из сплетения нервных волокон и рецепторов
(«колбочки» и «палочки»), которые преобразуют световые
сигналы в электрические, распространяющиеся по нервным
волокнам.
В центре сетчатой оболочки находится желтое пятно,
состоящее из плотно расположенных колбочек. В области
желтого пятна достигается особая острота зрения.

160.

Задача. Определите оптическую силу очков для
дальнозоркого человека, чтобы он видел так же, как человек
с нормальным зрением. Расстояние наилучшего зрения
нормально видящего человека 25 см, дальнозоркого – d = 1 м.
Решение.
1 1 1
F d0 d
D
1 d d0
3дптр
F
dd 0

161. ТЕСТ

1. С какой скоростью будет двигаться относительно человека его
изображение, если человек подходит к зеркалу со скоростью v?
2. С какой скоростью относительно зеркала будет перемещаться
изображение человека в плоском зеркале, если он подносит его к лицу со
скоростью v?
3. Чему равно увеличение плоского зеркала?
4. При увеличении угла падения луча на 15°, насколько увеличится угол
преломления? Угол падения был равен 30°, относительный показатель
преломления равен 2.
5. Пучок параллельных лучей шириной 3 см падает под углом на
плоскопараллельную пластину. Чему равна ширина пучка при выходе из
нее?

162.

6. Какое явление используется в волоконной оптике? Выберите правильный ответ.
1) отражения света;
2) полное внутреннее отражение;
3) интерференции;
4) дисперсии.
7. Передвигая экран, с помощью собирающей линзы получают изображение
предмета. Как будут изменяться размеры изображение и его форма приближении
предмета к фокусу линзы.
Для каждой величины выберите соответствующий характер изменения:
1) увеличится;
2) уменьшится;
3) не изменится.
Запишите в таблицу выбранные цифры для каждой физической величины.
Размеры
Форма

163.

8. В фокусе рассеивающей линзы поместили источник. На каком расстоянии
будет находиться его изображение?
9. На каком расстоянии находится изображение, если предмет находится на
расстоянии 2F от собирающей линзы?
10. Чему равна оптическая сила плоскопараллельной пластины?
11. Показатель преломления равен 1,2. Чему равен предельным угол
преломления?
12. Леонардо да Винчи писал свои научные и художественные трактаты левой
рукой справа налево. Как удобнее читать рукописи этого великого человека?
Выберите 2 правильных ответа.
1) перевернуть рукопись и читать снизу вверх
2) помещая перед зеркалом и смотря в зеркало
3) поместить перед источником света и читать с обратной стороны
4) копировать буквы и их поворачивать, а затем составлять из них слова

164. Испарение, сублимация, плавление и кристаллизация. Аморфные тела. Фазовые переходы I и II рода

165. ФАЗОВЫЕ РАВНОВЕСИЯ

ПРОБЛЕМА
Если система состоит только из фаз, находящихся в
конденсированном состоянии (Т,Ж), то исследовать ее
с помощью константы равновесия нельзя. Для её изучения
можно воспользоваться правилом Гиббса (1876г).

166. ПРАВИЛО ФАЗ ГИББСА

Правило фаз Гиббса устанавливает соотношение между числом
степеней свободы, числом фаз и числом компонентов в системе.
Фаза – однородная часть системы, одинаковая по составу,
физическим и химическим свойствам и отделённая от других частей
системы поверхностью раздела, на которой свойства системы резко
меняются.

167. ПРАВИЛО ФАЗ ГИББСА

Компонент – составная часть системы, представляющей из себя
индивидуальное вещество, которое может быть выделено из
системы и способное существовать вне её длительное время.
Число независимых компонентов– это наименьшее число
компонентов, достаточное для образования всех фаз системы. Оно
равно общему числу компонентов минус число уравнений,
связывающих их.

168.

Составляющие вещества и независимые компоненты
системы
T = 300K
He, N2, Ar
газы не реагируют друг с другом
T = 600K
H2, N2, NH3
3H2 + N2 ↔ 2NH3
число составляющих веществ = 3
число составляющих веществ = 3
число независимых компонентов:
К=3
число независимых компонентов:
К=2
S – число степеней свободы (или вариантность)
термодинамической равновесной системы – это число
параметров, которые можно произвольно и одновременно менять
в определенных пределах без изменения числа и вида фаз.
168

169.

Рассмотрим случай, когда в системе отсутствует химическое взаимодействие.
Пусть система имеет:
f – количество фаз
каждая фаза состоит из k компонентов
на состояние системы оказывают влияние – Т и Р
тогда (k – 1) независимых переменных выражают состояние одной фазы
f (k – 1) переменных выражают состояние всех фаз +2 (Т и Р)
В состоянии равновесия:
d 0
i
'
1
i
'
1
'
''
Для двух фаз и одного компонента: d d 0; d d ;
1
1
''
1
''
2
'
1
''
2
Для f фаз:
Число уравнений для одного компонента – (f – 1) ; для всех компонентов – k(f – 1)
при N ≠ 2

170. ЗАДАЧА

Равновесная система представляет собой водный раствор хлорида
натрия и этилового спирта, находящийся в равновесии с
кристаллами соли и насыщенным паром.
Определить число степеней свободы, которыми обладает система,
если температура системы постоянна.

171.

Решение задачи
Н 2О
Р, Т
С2Н5ОН
NaCl
К=3
n=1
C=К–Ф+n=3–3+1=1
Ф=3

172.

Термодинамическая
система
Однокомпонентная
(k =1)
Двухкомпонентная
(k =2)
Трёхкомпонентная
(k =3)
Однофазная
(f = 1)
Двухфазная
(f = 2)
Трёхфазная
(f = 3)
Безвариантная
(S = 0)
Моновариантная
(S = 1)
Бивариантная
(S = 2)

173.

Фазовые равновесия в однокомпонентных системах
испарение
• жидкость ↔ пар
конденсация
Возгонка
• кристаллы ↔ пар
сублимация
плавление
• кристаллы ↔ жидкость
кристаллизация
• фазовый переход из одной кристаллической модификации в другую
• кристаллы(ά) ↔
кристаллы(β)
Fe(ά) ↔ Fe(γ)

174.

Уравнение Клаузиуса - Клапейрона
• АI → AII
фаза II
фаза I
dP H пер
dT T V

175.

Вывод уравнения Клаузиуса - Клапейрона
2-ой закон термодинамики
условие равновесия фаз
уравнение Клаузиуса - Клапейрона

176.

Уравнение Клаузиуса-Клапейрона для процесса плавления
• Н2Отв.→ Н2Ож
Рвн.
Тпл.
Δ Н пл
dP
dT Т (Vж Vтв )

177.

Уравнение Клаузиуса- Клапейрона для процесса испарения
• Н2Ож → Н2Огаз
ln P
H исп
RT
B
P A e
ΔН исп
dP
dT Т (Vг Vж )
Р – давление насыщенного пара
Т- температура смеси
H исп
RT

178.

Уравнение Клаузиуса- Клапейрона для процесса возгонки
• Н2Отв.→ Н2Огаз
ΔН возг
dP
dT Т (Vг Vтв )
H возг
ln P
B
RT
P A e
H возг
RT

179.

Графическая интерпретация уравнения
H исп 1
ln P
B
RT Т
y =
a
·x+b
lnP
tgα = a = -∆Hисп/RT
m
β
α
n
1/T

180.

Диаграмма состояния Н2О
Для точки 1:
Для точки 2:
Для точки 3:

181. физико – химический анализ

1.Принцип непрерывности
При непрерывном изменении параметров системы (давления, температуры,
состава) свойства её отдельных фаз изменяются непрерывно.
При этом свойства системы, взятой в целом, тоже меняются непрерывно до тех пор
пока не возникают новые фазы или не исчезают старые.
2.Принцип соответствия
Каждому комплексу фаз, находящихся в равновесии в данной системе, соответствует
на диаграмме состояния определённый геометрический образ

182.

Как пользоваться фазовыми диаграммами
Образуют ли компоненты системы химические соединения?
Образуют ли компоненты системы твёрдые растворы?
Если известен общий состав исследуемой смеси и температура, при
которой она находится (т.е. заданы координаты фигуративной точки),то
нужно уметь определять:
1) число равновесных фаз,
2) состав каждой равновесной фазы,
3) количественное соотношение фаз в системе.
(«Правило рычага»)

183.

184.

185.

Краткое повторение терминологии в забавном
кроссворде
English     Русский Правила