395.38K
Категории: ФизикаФизика МеханикаМеханика

Введение. Основные понятия о силе и системе сил. Лекция №1

1.

Санкт-Петербургский государственный
архитектурно-строительный университет
Кафедра строительной механики
Теоретическая механика
Тема 1
Статика. Аксиомы статики.
Система сходящихся сил.
Юлина Анна Олеговна
1

2.

1
Лекция № 1
Введение. Основные понятия о силе и системе сил
УЧЕБНЫЕ ВОПРОСЫ
1. Введение.
Характеристика
основных
разделов
дисциплины и порядок ее изучения. Рекомендуемая
литература.
2. Понятия о силе. Система сил. Сосредоточенные и
распределенные силы.
3. Эквивалентные
системы
сил.
Равнодействующая.
Уравновешенная система сил.
2

3.

2
Предмет, основные понятия и законы теоретической механики.
Теоретическая механика (ТМ) – это наука
о наиболее общих законах механического
движения и механического
взаимодействия.
•«Материальная точка (МТ)» - это массивное тело,
размерами которого можно пренебречь;
•«Абсолютно твердое тело (АТТ)» - тело, которое ни
при каких условиях не изменяет своей формы и
размеров;
•«Механическая система (МС)» - совокупность
материальных точек или тел, движения которых
взаимосвязаны.
3

4.

3
Основные разделы ТМ
• Статика – это раздел ТМ, в котором изучаются
условия равновесия механических систем под
действием сил.
• Кинематика – это раздел ТМ, в котором
изучается движение материальных тел без учета
определяющих его сил и масс, т.е как движение
чисто геометрических объектов.
•Динамика – это раздел ТМ, в котором изучается
движение механических систем под действием
сил.
4

5.

1.1. Сила. Система сил.
5
ОПРЕДЕЛЕНИЕ 1 : Силой называется количественная мера
механического взаимодействия между материальными телами.
N
F
L
А
F – вектор силы;
( )А – точка ее приложения;
LN – линия действия силы.
ОПРЕДЕЛЕНИЕ 2: Совокупность нескольких сил
действующих на одно тело, называется системой сил.
Системы сил классифицируют по их взаимному расположению:
•система параллельных сил;
•плоская система сил;
•система сходящихся сил;
•пространственная система сил.
5

6.

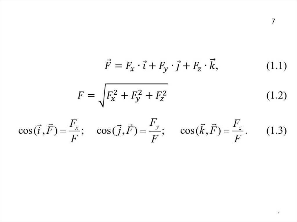
Координатный способ задания силы.
6
6

7.

7
7

8.

Сосредоточенные и распределенные силы.
8
Система сил может состоять из сосредоточенных (изолированных) и
распределенных сил (по линии, по поверхности, по объему).
Распределенные силы.
8

9.

9
9
English     Русский Правила