Анализ действующего порядка формирования налоговой базы и налоговых вычетов по налогу на доходы физических лиц
Цель и задачи
Что такое НДФЛ?
Налоговые ставки по НДФЛ
Налоговые вычеты
ООО «Санаторий «Уральская Венеция»
Выводы
Спасибо за внимание!
1.15M
Категория: ФинансыФинансы

Анализ действующего порядка формирования налоговой базы и налоговых вычетов по налогу на доходы физических лиц

1. Анализ действующего порядка формирования налоговой базы и налоговых вычетов по налогу на доходы физических лиц

Выполнила студентка 2 курса
очной формы обучения
Группы №312
Еремеева Наталия

2. Цель и задачи

Целью данной работы является анализ действующего порядка
формирования налоговой базы и налоговых вычетов по НДФЛ.
Для достижения поставленной цели необходимо решить ряд задач:
Рассмотреть историю развития НДФЛ;
Узнать современную характеристику НДФЛ;
Изучить порядок исчисления налоговой базы и налоговых
вычетов по налогу;
Разобрать функции и принципы налога на доходы физических
лиц;
Рассмотреть организационно-экономическую характеристику
ООО «Санаторий «Уральская Венеция»;
Определить порядок расчета и удержания НДФЛ в организации;
Провести анализ формирования налоговой базы и налоговых
вычетов по налогу на доходы физических лиц в ООО «Санаторий
«Уральская Венеция»;
Выявить достоинства и недостатки действующей системы
налогообложения доходов физических лиц;

3. Что такое НДФЛ?

Налог на доходы физических лиц — это прямой
налог, который взимается с доходов, получаемых
физическими лицами в течение определенного периода
времени. К таким доходам относятся заработная плата,
доходы от предпринимательской деятельности,
дивиденды и другие виды доходов.

4. Налоговые ставки по НДФЛ

5.

НДФЛ = налоговая база * налоговая
ставка
Налоговая база = весь доход – доход не
подлежащий налогообложению –
налоговый вычет

6. Налоговые вычеты

Стандартные налоговые вычеты (Статья 218 НК РФ);
Социальные налоговые вычеты (Статья 219 НК РФ);
Инвестиционные налоговые вычеты (Статья 219.1 НК РФ);
Налоговые вычеты на долгосрочные сбережения граждан
(Статья 219.2 НК РФ);
Имущественные налоговые вычеты (Статья 220 НК РФ);
Профессиональные налоговые вычеты (Статья 221 НК РФ).

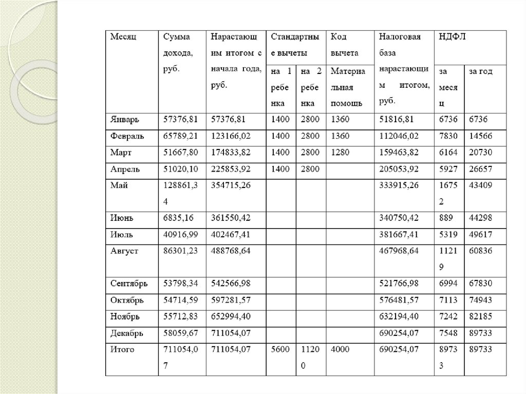
7. ООО «Санаторий «Уральская Венеция»

Общество с ограниченной ответственностью
«Санаторий «Уральская Венеция», зарегистрировано 23
июня 2005 года. Основным видом деятельности
является - деятельность санаторно-курортных
организаций.

8.

9. Выводы

На сегодняшний день тема
формирования налоговой
базы и налоговых вычетов по
налогу на доходы физических
лиц остается актуальной.
Сформулированы
рекомендации направленные
на улучшение взимания
налога на доходы физических
лиц.
Были выявлены плюсы и
минусы действующей системы
налогообложения доходов
физических лиц.

10. Спасибо за внимание!

English     Русский Правила