МАГИСТЕРСКАЯ ДИССЕРТАЦИЯ «Расчет и определение магнитных полей рассеяния дефектов»
СУЩЕСТВУЮЩИЕ МОДЕЛИ ДЛЯ РАСЧЕТА МАГНИТНЫХ ПОЛЕЙ, ВЫЗВАННЫХ НАЛИЧИЕМ ДЕФЕКТОВ НАМАГНИЧЕННОГО ТЕЛА
Численные методы расчета магнитостатических полей в нелинейной ферромагнитной среде
284.50K
Категория: ФизикаФизика

Расчет и определение магнитных полей рассеяния дефектов

1. МАГИСТЕРСКАЯ ДИССЕРТАЦИЯ «Расчет и определение магнитных полей рассеяния дефектов»

Выполнил: Пожидаев Д.В.
Научный руководитель: д.т.н., проф. Ерошин С.С.

2.

Актуальность работы: исследование магнитного поля рассеяния
вблизи дефектов позволит более качественно определять локальные
дефекты, а также обеспечит постановку более достоверного диагноза
технического состояния действующих газонефтепроводных систем,
позволит автоматизировать процесс дефектоскопии.
Цель магистерской диссертации - расчет и определение магнитных
полей рассеяния дефектов применительно к контролю газопроводов и
разработка комплекса диагностических приборов, в том числе для
выявления коррозионных повреждений, трещин.
Объект исследования – магнитное поле рассеяния дефекта типа
трещины намагниченной области в крупногабаритных изделиях.
Предмет исследования – определение основных параметров
распределения магнитного поля рассеяния дефекта локальной области
ферромагнитного тела по геометрическим параметрам дефекта.
Методы исследования. Математическое моделирование и численные расчеты
магнитных полей дефектов, экспериментальные методы исследования.

3. СУЩЕСТВУЮЩИЕ МОДЕЛИ ДЛЯ РАСЧЕТА МАГНИТНЫХ ПОЛЕЙ, ВЫЗВАННЫХ НАЛИЧИЕМ ДЕФЕКТОВ НАМАГНИЧЕННОГО ТЕЛА

Случай намагничивающей системы
бесконечных размеров. Поляризация
боковых граней дефекта сплошности
отсутствует
Случай намагничивающей системы
конечных размеров. Поляризация
боковых граней при разных
положениях стержневого магнита
относительно дефекта сплошности

4. Численные методы расчета магнитостатических полей в нелинейной ферромагнитной среде

решение уравнений Максвелла
в дифференциальной форме
метод конечных разностей (МКР или FDM – Finite Difference Method)
метод конечных элементов (МКЭ или FEM - Finite Element Method)
в интегральной форме
метод граничных элементов (МГЭ или ВЕМ - Boundary Element
Method)
метод интегральных уравнений (МИУ или IEM - Integral Equation
Method)
Для расчёта внешнего магнитного поля намагниченного
ферромагнитного тела ограниченных размеров наиболее
эффективно применять
метод интегральных уравнений, который основан на теории
потенциала поверхностно или объемно-распределенных источников
поля. Переход от дифференциальных уравнений электромагнитного
поля к интегральным выражениям базируется на использовании
тождества Грина.

5.

Начальный этап развития
водородной коррозии микротрещины по всей внутренней
поверхности стенки объекта.
Расширение микротрещин
из-за несовершенства
кристаллической решетки
металла стенки объекта.
Сливание микротрещин в
локальные полости
Замена образовавшихся
полостей прямоугольной
ступенькой
Дальнейшее развитие
дефекта водородной
коррозии, форма дефекта
приближается к
конической

6.

Расчетная модель
подповерхностного дефекта
водородной коррозии
1 N ( M j 1n ) 1ji
Hi
dl j ,
2 j 1 L
rji
здесь i - точка наблюдения поля; j точка источника; - единичный
вектор, проведенный из точки j в
точку i; - нормаль к контуру ЭП; N число ЭП.

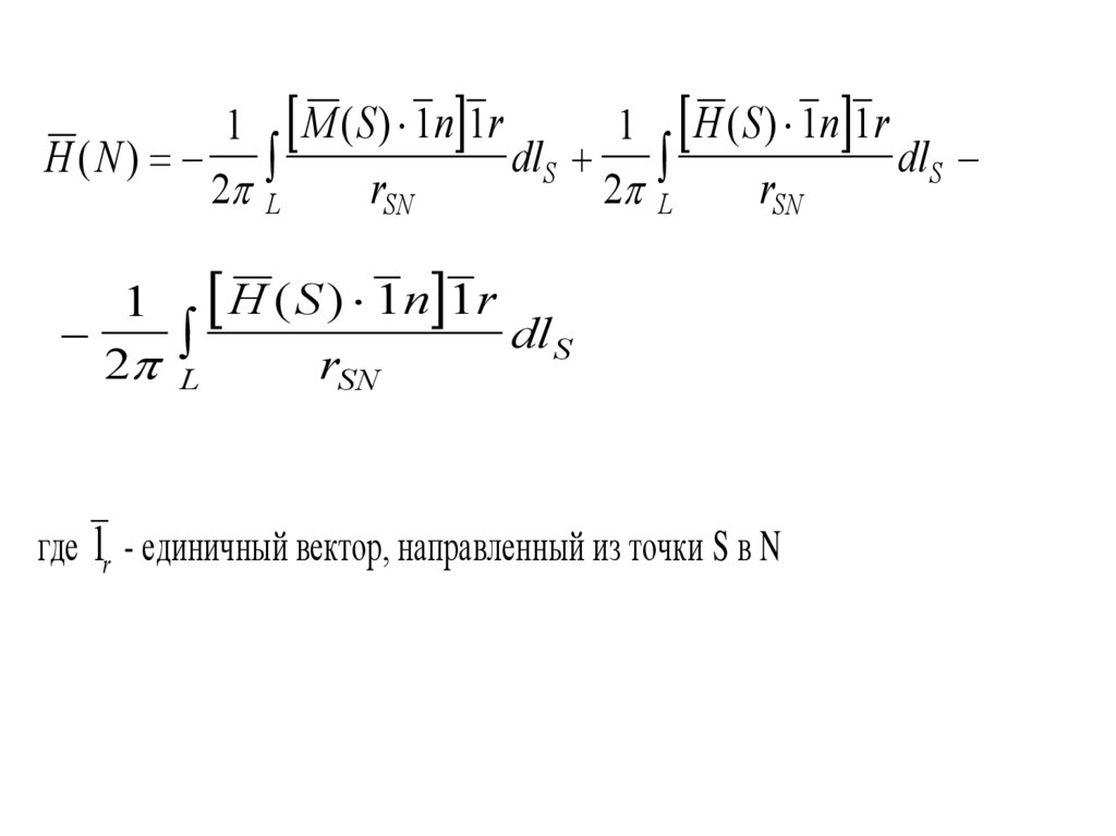
7.

1 M ( S ) 1 n 1 r
1 H ( S ) 1 n 1 r
H(N)
dlS
dlS
2 L
rSN
2 L
rSN
1 H ( S ) 1 n 1 r
dl S
2 L
rSN
где 1r - единичный вектор, направленный из точки S в N

8.

Блок-схема двухканального магнитометра для регистрации
полей рассеяния дефектов:
ГВ - генератор возбуждения; Ф1,Ф2-феррозонды; АД1,АД2амплитудные детекторы; ДУ1,ДУ2 - дифференциальные усилители;
УПТ1,УПТ2 - усилители постоянного тока; АЦП1,АЦП2- аналогоцифровые преобразователи; РIC- PIC-контроллер; ADM 232интерфейс СОМ-порта ПК; ПК -персональный компьютер.

9.

Система привода блока феррозондов:
1-шаговый электродвигатель; 2-микрометрический винт; 3каретка;
4-феррозонды; 5-объект контроля.

10.

ЗАКЛЮЧЕНИЕ
проведен анализ систем намагничивания, используемых в
неразрушающем контроле, особенности выбора таких систем для
различных задач дефектоскопии с учетом конструктивных
особенностей объекта контроля.
изучены математические и имитационные модели расчета магнитных
систем. Этот анализ необходим для понимания многоплановости
поставленной задачи. Учтены различные модели расчета, такие как
общая, квазистационарная, магнитостатическая и другие.
проведен обзор программ-симуляторов расчета магнитный полей.
выполнено численное моделирование магнитных полей дефектов, а
также изучены зависимости напряженности полей дефектов для
различных видов дефектов.
выполнено экспериментальное подтверждение результатов
теоретических исследований.
Расхождение экспериментальных данных с результатами
теоретических расчетов не превышает 5 - 7%, из которых 1,5 - 2%
составляет погрешность установки.
English     Русский Правила