1.90M
Категория: ХимияХимия

Аллотропные модификации серы (ромбическую и пластическую) и окислительно-восстановительные свойства серы, сероводорода

1.

Лабораторная работа № 2
Цель работы: Изучить аллотропные модификации серы (ромбическую и
пластическую) и окислительно-восстановительные свойства серы,
сероводорода, сернистой и серной кислот. Освоить методы получения
сульфидов металлов и тиосульфата натрия, а также качественные реакции на
сульфид-, сульфит- и сульфат-ионы
Теоретическая часть:
1. Общая характеристика серы
· Положение в ПСХЭ: Халькоген, типичный неметалл. ЭО = 2.5.
· Строение атома: 1s² 2s² 2p⁶ 3s² 3p⁴. Наличие вакантных d-орбиталей
позволяет проявлять степени окисления -2, +4, +6.
· Нахождение в природе: Самородная сера, сульфиды (FeS₂, ZnS, PbS),
сульфаты (Na₂SO₄·10H₂O).
2. Аллотропные модификации серы
· α-S (ромбическая): Желтые кристаллы, стабильная при комнатной
температуре.
· β-S (моноклинная): Бледно-желтые кристаллы, tпл = 119.3°C.
· Пластическая сера: Образуется при резком охлаждении расплава.
Резиноподобная, нестабильная.
· Изменения при нагревании:
· ~160°C: Желтая жидкость (кольца S₈) → темнеет, становится вязкой
(полимерные цепи).

2.

· 187°C: Вязкость падает (цепи разрушаются).
· tкип = 444.7°C.
3. Химические свойства простого вещества
· С металлами (окислитель): Zn + S → ZnS (экзотермическая реакция со
вспышкой).
· С неметаллами (восстановитель): S + O₂ → SO₂.
· Диспропорционирование в щелочах:
· Уравнение: 3S⁰ + 6NaOH → 2Na₂S⁻² + Na₂S⁺⁴O₃ + 3H₂O
4. Важнейшие соединения серы
А. Степень окисления -2
· Сероводород (H₂S):
· Ядовитый газ с запахом тухлых яиц.
· Слабая кислота: K₁ ≈ 10⁻⁷.
· Восстановитель: H₂S + Br₂ → 2HBr + S↓ (обесцвечивание брома).
· Сульфиды:
· Растворимые: Сульфиды щелочных металлов, аммония ((NH₄)₂S).
· Нерастворимые: Сульфиды многих металлов (цветные осадки).
· Растворение в кислотах: MS + 2H⁺ ↔ M²⁺ + H₂S↑ (сдвиг равновесия зависит
от ПР).
· Персульфиды (полисульфиды): Me₂Sₙ (n=2-8). Аналоги пероксидов.
Б. Степень окисления +4

3.

· Оксид серы (IV) SO₂:
· Бесцветный удушливый газ, ядовит.
· Получение: S + O₂ → SO₂; Na₂SO₃ + H₂SO₄ → Na₂SO₄ + SO₂↑ + H₂O.
· Сернистая кислота (H₂SO₃):
· Слабая, неустойчивая кислота: SO₂ + H₂O ↔ H₂SO₃ ↔ H⁺ + HSO₃⁻ ↔ 2H⁺ +
SO₃²⁻.
· Соли: Сульфиты (Na₂SO₃) и гидросульфиты (NaHSO₃).
· Сильный восстановитель: SO₃²⁻ + 2OH⁻ - 2ē → SO₄²⁻ + H₂O.
· Диагностическая реакция: SO₃²⁻ + 2H⁺ → SO₂↑ + H₂O (запах).
В. Степень окисления +6
· Оксид серы (VI) SO₃:
· Получают каталитическим окислением SO₂ (V₂O₅, t=500°C).
· Бурно реагирует с водой с образованием H₂SO₄.
· Серная кислота (H₂SO₄):
· Сильная двухосновная кислота (K₂ = 1.2·10⁻²).
· Разбавленная: Проявляет свойства сильной кислоты (ион H⁺ —
окислитель).
· Концентрированная: Сильный окислитель (за счет S⁺⁶), пассивирует
некоторые металлы (Fe, Al).
· С металлами: Cu + 2H₂SO₄(конц.) → CuSO₄ + SO₂↑ + 2H₂O
· С неметаллами: C + 2H₂SO₄(конц.) → CO₂↑ + 2SO₂↑ + 2H₂O
· Обугливание органических веществ — водоотнимающее свойство.
· Сульфаты: Соли серной кислоты. Многие хорошо растворимы. Качественная
реакция на SO₄²⁻: Образование белого осадка BaSO₄, нерастворимого в
кислотах. Ba²⁺ + SO₄²⁻ → BaSO₄↓

4.

Г. Кислородные кислоты серы (особые)
· Тиосерная кислота (H₂S₂O₃): Неустойчива. Её соль — тиосульфат натрия
Na₂S₂O₃·5H₂O — важный реактив.
· Свойства:
· Разлагается в кислоте: S₂O₃²⁻ + 2H⁺ → S↓ + SO₂↑ + H₂O
· "Антихлор": 2Na₂S₂O₃ + I₂ → 2NaI + Na₂S₄O₆ (применяется в йодометрии).
· Политионовые кислоты (H₂SₓO₆, x=3-6): Соли — политионаты.
· Двусерная кислота (H₂S₂O₇) — олеум: Смесь H₂SO₄ и SO₃.
5. Качественные реакции
· На S²⁻ (сероводород, сульфиды): Образование черного осадка PbS: H₂S +
Pb²⁺ → PbS↓ + 2H⁺.
· На SO₃²⁻ (сульфиты): Выделение SO₂ при действии кислоты +
обесцвечивание KMnO₄.
· На SO₄²⁻ (сульфаты): Образование нерастворимого в кислотах белого осадка
BaSO₄.
Опыт 1. Ромбическая сера
Описание опыта:
Каплю раствора серы в толуоле нанесли стеклянной палочкой на предметное
стекло и наблюдали за испарением растворителя под микроскопом
Наблюдения:

5.

По мере испарения толуола на стекле образовались прозрачные кристаллы
желтого цвета
Вывод:
при медленном испарении толуола выделяется устойчивая ромбическая сера
(S₈), форма кристаллов - ромбическая призма
Опыт 2 Пластическая сера
Описание опыта:
Нагревали порошкообразную серу в пробирке до полного плавления.
Получилась легкоподвижная жидкость жёлтого цвета (λ-сера). Часть этой
жидкости вылили в стакан с холодной водой. Оставшуюся в пробирке серу
продолжали нагревать. Она потемнела (приобрела красно-коричневый
оттенок) и стала очень вязкой (μ-сера, полимерная цепочка). Эту кипящую
серу также вылили в стакан с водой.
Наблюдения:

6.

1. Первая порция (светло-жёлтая жидкость): При резком охлаждении в воде
сера застыла, образовав массу жёлтого цвета. Эта масса состояла из мелких
кристаллов ромбической серы
2. Вторая порция (тёмная, вязкая жидкость): При резком охлаждении в воде
образовалась мягкая, резиноподобная масса тёмно-коричневого цвета - это
пластическая сера
Вывод:
При нагревании сера претерпевает полиморфные превращения. Быстрое
охлаждение расплава, находящегося в состоянии полимерных цепей (μ-сера),
не позволяет ей перейти в кристаллическое состояние, в результате
образуется метастабильная пластическая модификация серы, которая со
временем становится хрупкой, переходя обратно в ромбическую серу
пластическая сера - метастабильная полимерная форма; быстрое
охлаждение фиксирует полимер, медленное остывание возвращает S₈
Опыт 3 Диспропорционирование серы
Наблюдения: Бумажка, смоченная раствором нитрата свинца, чернеет, что
доказывает образование сульфид-ионов (S²⁻)
Ур-е реакции:

7.

Вывод: Сера в концентрированном растворе щелочи при нагревании
диспропорционирует на сульфид и сульфит
Опыт 4 Окислительные свойства серы
Наблюдения: Смесь цинка и серы при нагревании воспламеняется с яркой
вспышкой
Ур-е реакции:
Вывод: Сера является окислителем по отношению к активным металлам
(цинку). Реакция высокоэкзотермична
Опыт 5 Получение и свойства сероводорода
Наблюдения: Выделяется газ с запахом тухлых яиц. Лакмусовая бумажка
краснеет. Бумажка с Pb(NO₃)₂ чернеет
Ур-е реакций:

8.

H₂S - слабая кислота, подкисляет среду. Образование черного осадка PbS качественная реакция на сульфид-ион
Опыт 6 Восстановительные свойства сероводорода
а) С бромной водой:
Наблюдения: Выделение серы, обесцвечивание
б) С конц. HNO₃:
Наблюдения: Выделение серы и бурого газа NO₂
в) С подкисленным KMnO₄:
Наблюдения: Обесцвечивание, выделение серы
Ур-е реакций:

9.

Вывод: H₂S - сильный восстановитель, окисляется до S⁰ или SO₄²⁻
Опыт 7 Получение и свойства сульфида алюминия
Наблюдения: Происходит сильная вспышка с ярким пламенем. После
реакции образуется твердая спекшаяся масса серого или темно-серого цвета
- сульфид алюминия (Al₂S₃)
Взаимодействие полученного сульфида с водой (гидролиз): Происходит
бурное выделение бесцветного газа с резким характерным запахом тухлых
яиц (сероводород)
Уравнение реакции:
Исследование свойств осадка:
При добавлении кислоты осадок растворяется
При добавлении щелочи осадок также растворяется
Выводы:
1. Реакция между алюминием и серой является сильноэкзотермической
2. Сульфид алюминия подвергается полному и необратимому гидролизу
водой с образованием сероводорода и гидроксида алюминия , что
подтверждается почернением бумаги с солью свинца
3. Осадок гидроксида алюминия обладает амфотерными свойствами, так как
растворяется как в кислотах, так и в щелочах

10.

Опыт 9 Получение сернистого газа сжиганием серы
Наблюдения: при поджигании сера горит синим пламенем → образуется газ с
резким запахом (сернистый газ (SO2) ).
Уравнение реакции:
Горение серы:
Растворение оксида серы (IV) в воде:
Вывод:
При горении серы образуется газообразный оксид серы (IV), который в воде
образует нестойкую сернистую кислоту. Таким образом, сера горит в
кислороде, образуя кислотный оксид; кислотные оксиды, растворяясь в воде,
дают соответствующие кислоты; сернистая кислота нестойкая и легко
разлагается.
Опыт 10. Окислительно-восстановительные свойства сернистой кислоты
А)
Наблюдение: при добавлении бромной воды (оранжево-бурый раствор Br₂ в
H₂O) к раствору сернистой кислоты происходит быстрое обесцвечивание
раствора.
Br₂ вступает в реакцию с H₂SO₃ — идёт окислительно-восстановительная
реакция. H₂SO₃ является восстановителем и окисляется до H₂SO₄, а Br₂
восстанавливается до HBr.
Уравнение реакции:

11.

Сернистая кислота проявляет восстановительные свойства, в реакции с
бромной водой она окисляется до серной кислоты. Бром восстанавливается
до бромоводорода.
Обесцвечивание бромной воды служит доказательством образования H₂SO₄
и протекания реакции.
Б)
Наблюдение: после добавления раствора сернистой кислоты к
сероводородной воде смесь быстро помутнела, появился осадок желтого
цвета , запах сероводорода сильно ослаб.
Сероводород окисляется до элементной серы; раствор сернистой кислоты
выступает в роли окислителя. Появление мелкодисперсной желтой серы—
прямое доказательство образования элементной серы.
Уравнение реакции:
(Окисление)
(Восстановление)
Реакция окисления * 2 ->

12.

Взаимодействие сероводорода и растворённого диоксида серы/сернистой
кислоты приводит к образованию элементной серы (осадок) и воды.
Наблюдается выпадение желтой серы и исчезновение запаха H₂S.
В)
Наблюдения:
До нагрева:
Окрашенный (красно-фиолетовый) раствор быстро обесцвечивается —
становится очень бледным. Сернистая кислота восстанавливает окрашенную
форму фуксина до её бесцветной формы.
После нагрева:
После нагревания цвет возвращается. Сначала видно тонкое помутнение,
потом постепенное восстановление исходного цвета. Бесцветная
восстановленная форма фуксина быстро окисляется кислородом воздуха при
нагреве — окраска возвращается.
Вывод:
Сернистая кислота проявляет двойственность в окислительновосстановительных реакциях: в зависимости от реакционных партнёров она
может вести себя как восстановитель и как окислитель. Экспериментально
это видно по трём характерным признакам: обесцвечивание бромной воды и
красителя (доказывает восстановительные свойства), выпадение серы при
действии на сероводород (доказывает окислительные свойства), и исходный
способ получения раствора (образование H₂SO₃)
Опыт 11 Реакция на сульфит-ион
1. Добавление немного NaOH
2. Добавление раствора BaCl₂

13.

Наблюдение: образование белого осадка
3. Действие концентрированной HCl на образовавшийся осадок
Наблюдение: шипение и появление пузырьков, резкий запах —
выделяется газ SO₂; осадок растворяется.
Вывод:
Появление белого осадка при добавлении BaCl₂ к раствору сернистой
кислоты (после прибавления небольшого количества NaOH)
подтверждает наличие гидросульфитов. Действие концентрированной
HCl вызывает растворение осадка с выделением газа SO₂ — это связано
с тем, что в кислой среде гидросульфит переходит в сернистую кислоту,
которая нестойка и разлагается на SO₂ и H₂O. В результате ион Ba²⁺
снова остаётся в растворе в виде растворимого хлорида бария. Таким
образом, гидросульфиты при действии кислот дают SO₂, а катион бария
даёт осадок с анионами сернистой кислоты.
Опыт 14 Реакция на сульфат-ион
1) Добавление BaCl₂ к разбавлённой H₂SO₄
Наблюдение: образуется белый осадок BaSO₄.
2) Действие концентрированной HCl на полученный осадок BaSO₄

14.

сульфат-анион стабилен к действию сильных кислот; серная кислота не
переходит в газообразную форму при простом подкислении, и BaSO₄
имеет очень малую растворимость, поэтому добавление HCl не
приводит к растворению осадка. Также Ba²⁺ не образует с Cl⁻
растворимых комплексных соединений, которые могли бы удалить Ba²⁺
из твёрдой фазы.
Наблюдение: осадок остаётся; при добавлении HCl нет шипения и нет
выделения SO₂.
3) Сравнение с реакцией открытия сульфит-иона
Сульфит при действии сильной кислоты быстро переходит в
неустойчивую сернистую кислоту, которая разлагается на
. Поэтому осадок бария с сульфитами растворяется при
добавлении HCl с выделением газа SO2. Пример:
Сульфат устойчив; при подкислении не образует летучего продукта и не
растворяет осадок BaSO₄. Добавление HCl к BaSO₄ не вызывает
растворения и не сопровождается выделением газа. Сравнение:
Вывод: При наливании H₂SO₄ и добавлении BaCl₂ — быстро белый
осадок BaSO₄, что является подтверждением наличия сульфата в
растворе. При добавлении концентрированной HCl осадок не
растворяется, шипения и газа нет.
Отличие от реакции с сульфитами: сульфиты при добавлении HCl дают
SO₂ и осадок исчезает; сульфаты – более устойчивы.
Опыт 16 Гомогенный катализ
Наблюдения:
1. В пробирке с 30% серной кислотой и несколькими каплями
перманганатом калия — фиолетовый раствор.
2. Если в пробирку положить кусочек цинка, фиолетовый цвет исчезает
с образованием бесцветного Mn2+.

15.

3. При добавке небольшого количества KNO3 перед введением цинка
обесцвечивание происходит быстрее (в пробирке с нитратом время
полного обесцвечивания меньше), то есть нитрат ускоряет процесс.
Третья пробирка без цинка остаётся фиолетовой.
То есть, нитрат калия ускоряет восстановление перманганата цинком.
Уравнения реакции (пробирка без KNO3):
(Окисление)
(Восстановление)
Окисление * 5
Восстановление * 2
Вторая пробирка (только Zn + KMnO₄ + H₂SO₄): Обесцвечивание будет
идти медленнее. Реакция лишена катализатора и тормозится
пассивацией поверхности цинка
Вывод:
Добавка небольшого количества KNO3 ускоряет процесс
(обесцвечивание происходит быстрее): нитрат действует как
гомогенный катализатор
Опыт 8 Получение сульфидов металлов
Объяснение осаждения с помощью ПР:
Осадок выпадает, если ионное произведение [Mⁿ⁺]·[S²⁻] в растворе
превышает величину ПР его сульфида. Сульфиды Fe и Mn имеют
наибольшие ПР, поэтому в разбавленных растворах осадки могут не
выпадать, так как ионное произведение не достигает порога
растворимости
Уравнение реакции:

16.

б) Действие 3% HCl на осадки
FeS, MnS, ZnS - растворяются с выделением газа H₂S с запахом. ПР этих
сульфидов относительно велико. Концентрация S²⁻ у поверхности
осадка достаточна для связи с H⁺ в малодиссоциированный H₂S.
Равновесие MS(тв.) ⇄ M²⁺ + S²⁻ смещается вправо.

17.

CdS, Sb₂S₃, CuS Осадок не растворяется. ПР этих сульфидов очень мало.
Концентрация S²⁻ мала , её недостаточно для протекания реакции S²⁻ +
2H⁺ → H₂S↑. Равновесие не смещается
в) Действие H₂S на FeSO₄
При пропускании сероводорода через раствор соли Fe(II) чистый FeS не
осаждается, так как процесс окисляется кислородом воздуха.
Образуется смесь FeS, Fe(OH)₃ и элементарной серы, что наблюдается
как бурый или чёрный осадок
Качественная реакция на сульфид-ион:
Ион Pb²⁺ образует чёрный осадок сульфида свинца (II)
Опыт 12 Обугливание органических веществ под действием серной
кислоты
а) Обугливание лучины
· Наблюдения: Выделение газа с резким удушливым запахом (SO₂),
обугливание
· Объяснение (ОВР): Атом углерода в органике окисляется, а сера S⁺⁶
восстанавливается
б) Проявление надписи на бумаге
После высыхания и нагревания на месте надписи, сделанной
разбавленной серной кислотой, появляются темные (обугленные)
буквы.

18.

При нагревании разбавленная кислота действует как окислитель. Вода
испаряется, и кислота, оставаясь на бумаге, взаимодействует с
органическим веществом, окисляя его
Опыт 13 Окислительные свойства серной кислоты
а) Действие на металлы
1. Разбавленная серная кислота (окислитель -ион H⁺)
С цинком (Zn):
Бурное выделение бесцветного газа
С медью (Cu):
Реакция не идет (раствор не изменяется)
Медь находится в ряду активности металлов после водорода и не
может вытеснить его из кислоты
2. Концентрированная серная кислота (окислитель - атом S⁺⁶)
С медью (Cu) при нагревании: Раствор синеет, выделяется газ с резким
удушливым запахом
С цинком при нагревании:
Выделение газа с резким запахом
б) Действие на неметаллы (концентрированная H₂SO₄ - окислитель S⁺⁶)
С серой (S) при нагревании:
Выделение газа с резким запахом
С углем (C) при нагревании:
Выделение газа с резким запахом, на стенках пробирки появляются
капли воды

19.

Уравнение реакции:

20.

Вывод:
1. Разбавленная H₂SO₄ проявляет свойства сильной кислоты,
окислителем является ион H⁺.
2. Концентрированная H₂SO₄ - сильный окислитель за счет атома серы
S⁺⁶, который восстанавливается в основном до SO₂
Опыт 15 Тиосульфат натрия
А) Получение тиосульфата натрия
Реакция:
Сера плохо смачивается водой, она собирается в комочки и медленно
вступает в реакцию. Смочив серу спиртом, мы улучшаем её
распределение в растворе и ускоряем процесс взаимодействия.
Тиосульфат натрия:

21.

Б)
1) Действие соляной кислоты
Наблюдение: Раствор мутнеет, постепенно выделяется осадок серы
(желтовато-белый), появляется запах оксида серы - SO₂
Уравнение реакции:
Na₂S₂O₃ + 2HCl → 2NaCl + S↓ + SO₂↑ + H₂O
2) Наблюдение: при сильном нагревании бурно разлагается, остаётся смесь
твёрдой серы и сульфата натрия.
Уравнение реакции:

22.

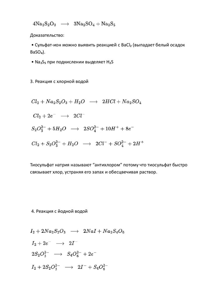
Доказательство:
• Сульфат-ион можно выявить реакцией с BaCl₂ (выпадает белый осадок
BaSO₄).
• Na₂S₅ при подкислении выделяет H₂S
3. Реакция с хлорной водой
Тиосульфат натрия называют “антихлором” потому что тиосульфат быстро
связывает хлор, устраняя его запах и обесцвечивая раствор.
4. Реакция с йодной водой

23.

С хлором сера окисляется до сульфата
С йодом сера окисляется только до тетратионата
Cl₂, Br₂ — сильные окислители, могут довести серу до +6 и образуется сульфат
I₂ — слабее, окисляет только до тетратионата, средняя степень окисления
серы ≈ +2,5.
Уравнения
С хлором
С йодом
С бромом
Вывод
В опытах подтверждены основные свойства серы и её соединений.
Установлена аллотропия серы и её двойственная химическая природа.
Сероводород проявил восстановительные свойства и дал осадки с ионами
металлов, различающиеся по растворимости. Сернистая кислота показала
окислительно-восстановительную двойственность, а реакция с BaCl₂
позволила отличить сульфиты от сульфатов. Для серной кислоты
подтверждены её свойства как сильного окислителя, дегидратирующего
агента и сильной кислоты. Тиосульфат проявил восстановительную
способность и дал характерные реакции с окислителями и кислотами. Опыт с

24.

восстановлением KMnO₄ цинком показал роль нитрат-ионов как гомогенного
катализатора.
English     Русский Правила