Первообразная
164.23K
Категория: МатематикаМатематика

правила первообразных

1. Первообразная

Правила нахождения
первообразных

2.

Функция F(x)называется
первообразной для функции f(x)на
некотором промежутке, если для
всех x из этого промежутка
F ( x) f ( x)

3.

5
x
1
Показать, что функция F ( x)
5
является первообразной для функции
4
f ( x) x
Решение:
5
4
x
5x
4
F ( x) 1
x f ( x)
5
5

4.

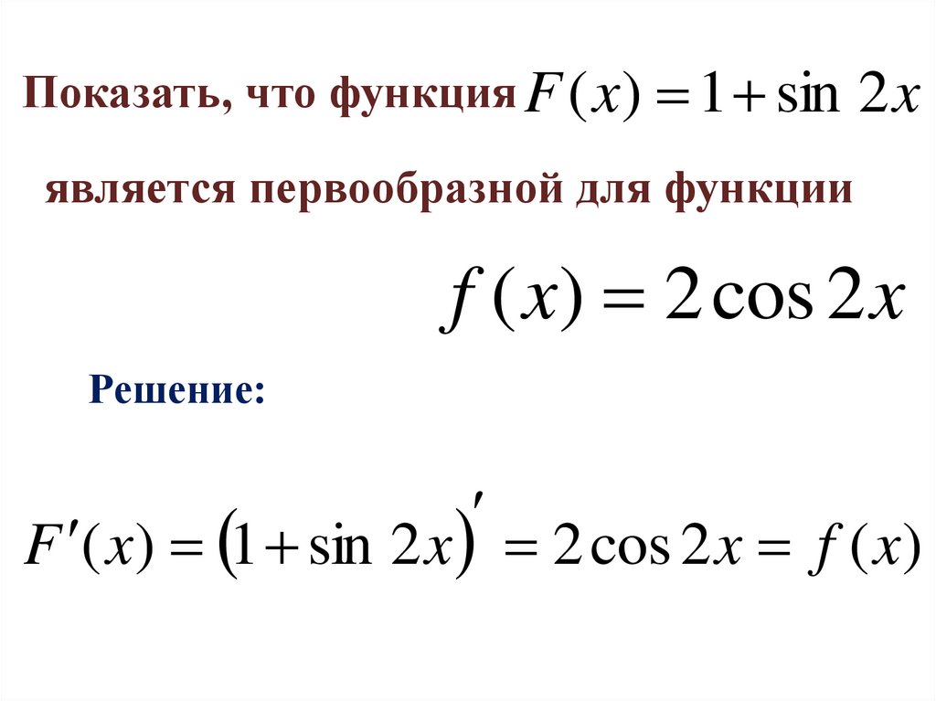
Показать, что функция F ( x) 1 sin 2 x
является первообразной для функции
f ( x) 2 cos 2 x
Решение:
F ( x) 1 sin 2 x 2 cos 2 x f ( x)

5.

Если F(x)– первообразная для
функции f(x) на некотором
промежутке, то функция F(x)+C
также является первообразной
функции f(x) на этом промежутке,
где C –произвольная постоянная.

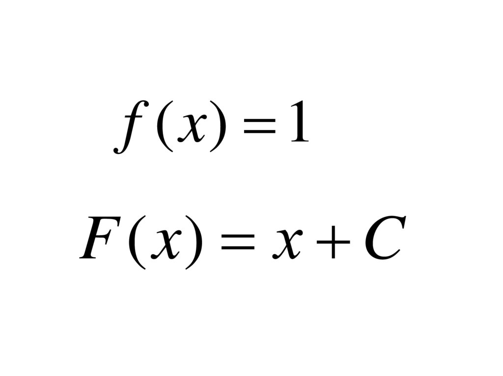
6.

f ( x) 1
F ( x) х C

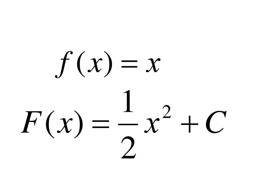
7.

f ( x) х
1 2
F ( x) х C
2

8.

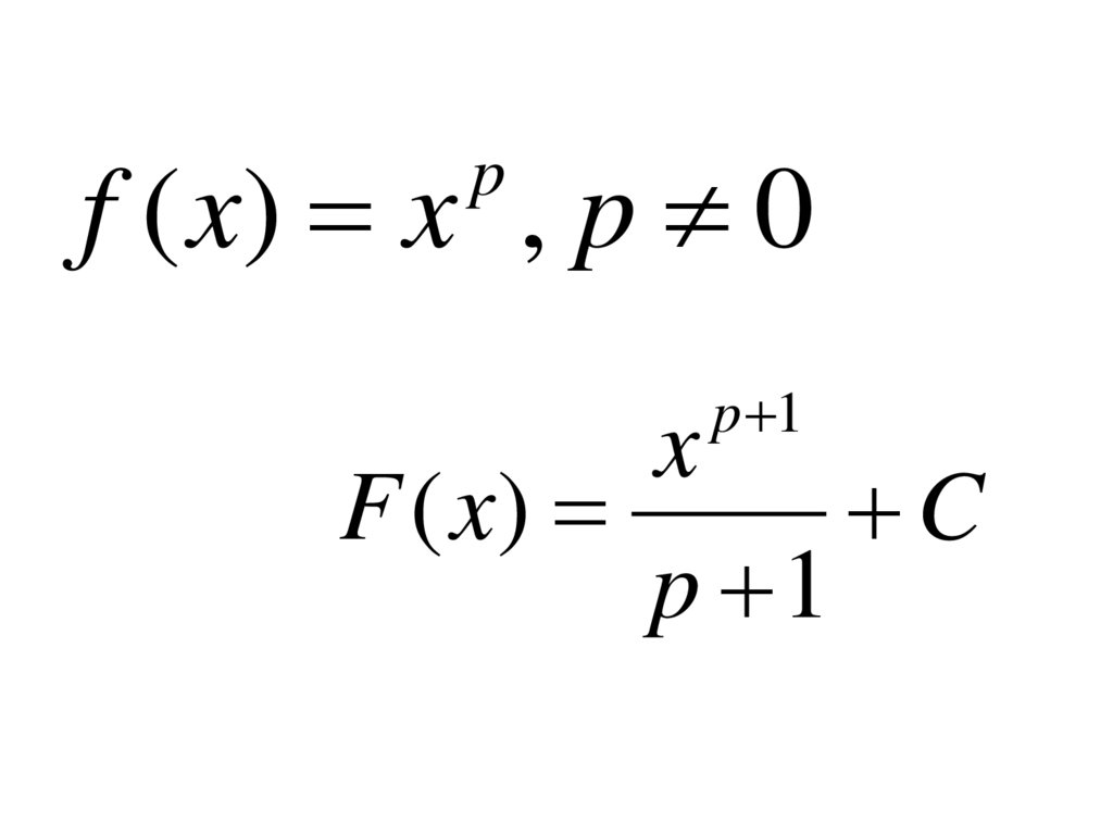
f ( x) x , p 0
p
p 1
x
F ( x)
C
p 1

9.

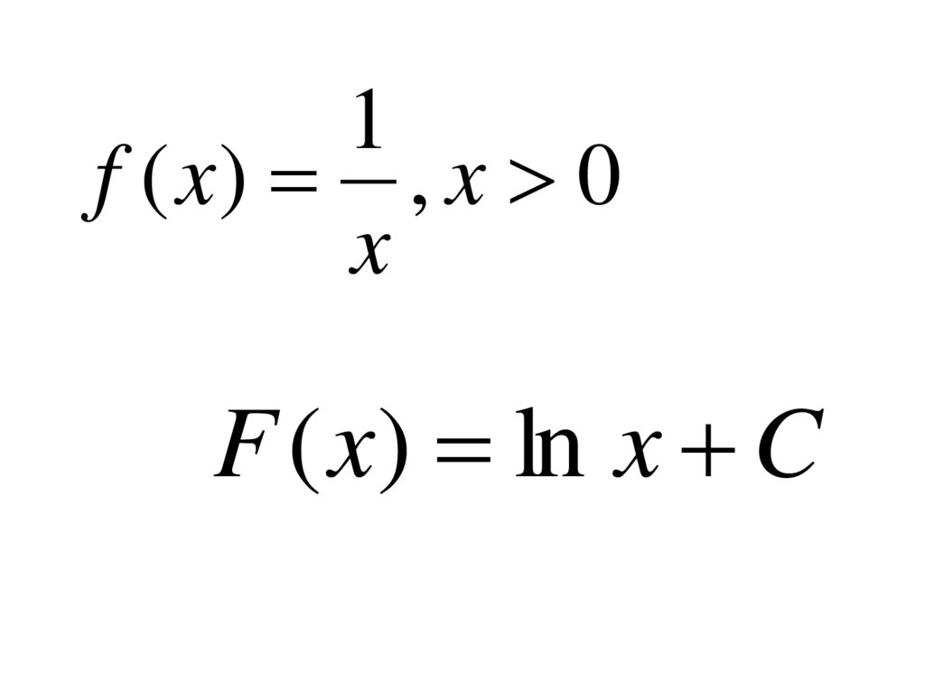
1
f ( x) , x 0
x
F ( x) ln x C

10.

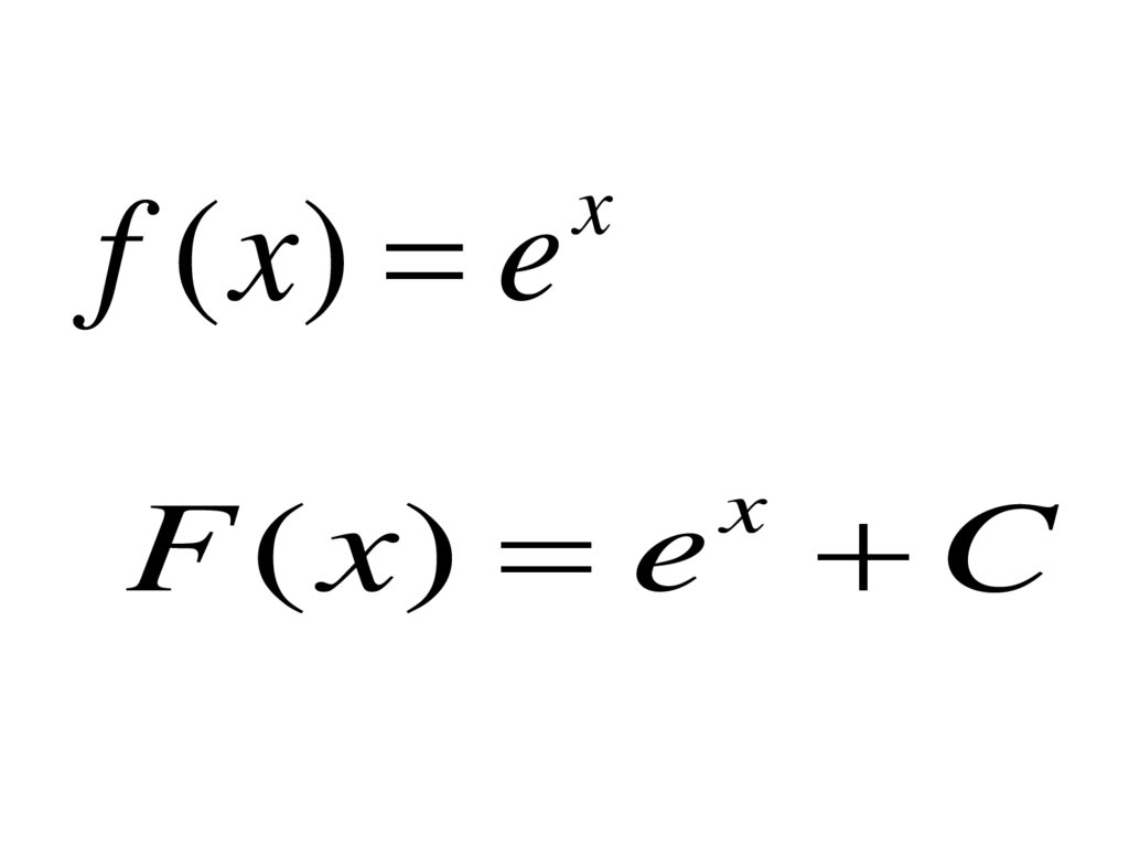
f ( x) e
x
F ( x) e C
x

11.

f ( x) sin x
F ( x) cos x C

12.

f ( x) cos x
F ( x) sin x C

13.

Правила нахождения
первообразных

14.

Если F(x)– первообразная для функции f(x),
а G(x)– первообразная для функции g(x), то
F(x)+G(x)– первообразная для функции
f(x)+g(x)
Первообразная суммы равна
сумме первообразных

15.

Если F(x)– первообразная для функции f(x),
а а –константа, то аF(x)– первообразная
для функции аf(x)
Постоянный множитель
можно выносить за знак
первообразной

16.

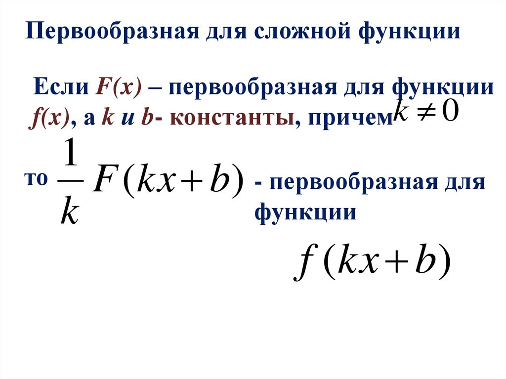
Первообразная для сложной функции
Если F(x) – первообразная для функции
f(x), а k и b- константы, причемk 0
1
то
F (kx b) - первообразная для
функции
k
f (kx b)

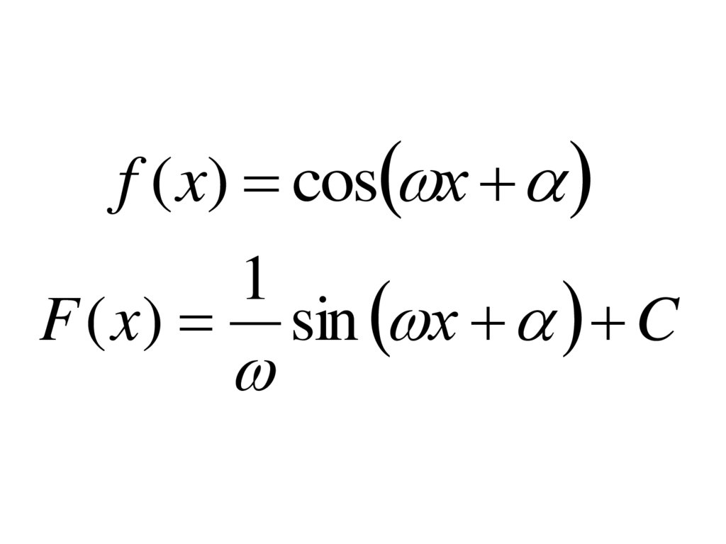
17.

f ( x) sin х
F ( x)
1
cos х C

18.

f ( x) cos х
F ( x)
1
sin х C

19.

Найти первообразные для функции
f ( x) 5 x e
3
2 x 7
4 cos x
Решение:
4
x 1 2 x 7
F ( x) 5 e
4 sin x C
4 2

20.

Найти первообразные для функции:
1) f ( x) 3x 5
4
2) f x 6e
3 x 1
x
1
3) f x 5 sin 2 x
x

21.

Найти первообразные для функции:
Ответы:
3 5
1) F ( x) x 5 x C
5
2
x
3 x 1
2) f x 2e C
2
5
3) f x cos 2 x ln x C
2
English     Русский Правила