ТЕСТ ПО ТЕМЕ «Работа силы. Энергия. Мощность»
2.98M
Категория: ФизикаФизика

2016. Работа силы тяжести и силы упругости

1.

Работа и мощность
силы. Кинетическая
энергия материальной̆
точки. Теорема об
изменении
кинетической̆ энергии

2.

3.

A FS cos α
-угол между вектором силы и вектором
перемещения
F - модуль силы
S-модуль перемещения
тупой угол
прямой угол
острый угол

4.

Джоуль это работа, совершаема я
силой 1Н на перемещении 1 м,
если направления силы и перемещения
совпадают.
1 Дж 1Н 1м

5.

α 0
соs0 1
α 180
соs180 1

6.

Fx проекция силы
х координата тела
Fx
А S фигуры Fx ( x2 x1 )
Работа при
перемещении тела из
точки с координатой х1
в точку с координатой
х2= площади
прямоугольника.
х1
х2
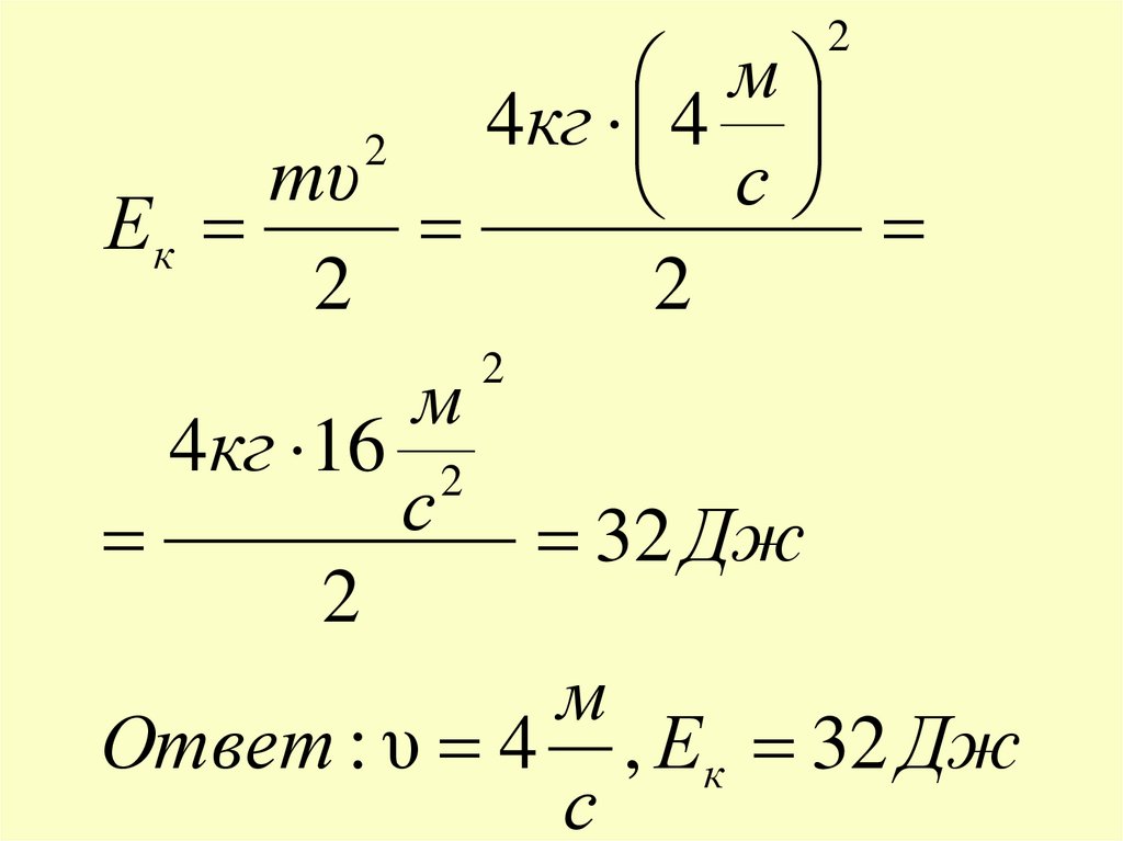
х

7.

Мощность - отношение работы А к
промежутку времени t, за который эта
работа совершена:
A FS cos α
N
Fυ cos α
t
t
A Дж
N
Вт
t с

8.

Е- энергия –физическая величина,
характеризующая способность тела или системы
тел к совершению
работы.
m
υ0 F
F
S
A=FS cos
υ
х
F ma
- угол между вектором F и S
2
2
=0 ,
2
2
x υ0x
υ
0
S
сos = сos 0 =1
x
S
2a x
2a

9.

υ υ
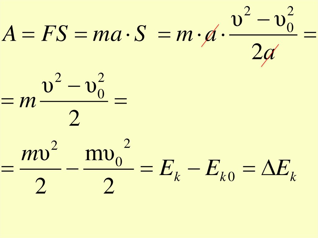
A FS ma S m a
2a
2
2
υ υ0
m
2
2
2
mυ mυ 0
Ek Ek 0 Ek
2
2
2
2
0

10.

Теорема о кинетической
энергии:
A Ek Ek 0 Ek
Работа силы = изменению
кинетической энергии.

11.


Ek
2
кинетическая энергия 2
половина произведения
массы тела
на квадрат скорости

12. ТЕСТ ПО ТЕМЕ «Работа силы. Энергия. Мощность»

Вариант 1
1. Дайте понятие работы.
Вариант 2
1.
Что принимают за
единицу работы в СИ?
2.
Записать
общее 2.
Записать
общее
выражение для работы и выражение для работы и
обозначение всех величин. обозначение всех величин.
3. Расставить знаки работы 3. Расставить знаки работы
и угол
и угол
90
А…0
> 90
А…0
= 90
А…0
= 180
А…0
=…
А = FS
=…
А=0

13.

Вариант 1
Вариант 2
4. Записать выражение для работы

14.

Вариант 1
Вариант 2
5. Запишите формулу и по графику зависимости
проекции силы от координаты определите
работу.
Fx
Fx


х, м
х, м
4
7
5
9

15.

Вариант 1
Вариант 2
6. Что такое
мощность и ее
единица измерения.
(формула, словесная
формулировка).
6. Теорема о
кинетической
энергии (формула,
словесная
формулировка).
7. Энергия-…
7. Кинетическая
энергия-…

16.

Критерии оценивания:
«5»-7 заданий (100%)
«4»-6 заданий (86%)
«3»-5 заданий (71%)
«3»- 4 задания (57%)
«2»-0-3 задания (менее 50%)

17.

РАБОТА СИЛЫ ТЯЖЕСТИ
Fтяж mg
h1
h2
S
A FS cos α
Fтяж
α 0
соs0 1
S h1 h2
A FS mg(h1 h2 )

18.

A FS mg(h1 h2 )
A mgh1 mgh2
Е р1 Е р 2
( Е р 2 Е р1 ) Ер
Работа силы тяжести =
изменению потенциальной энергии,
взятой со знаком «-»

19.

Е р mgh
Потенциальная энергия тела
массой m, поднятого над
Землей на высоту h.

20.

Работа силы тяжести не зависит от формы
траектории тела: она определяется лишь
начальным и конечным положениями тела.

21.

Работа силы тяжести
при перемещении тела
по замкнутой траектории = 0.
S
Fтяж
Fтяж
S
А 0
S
S
Fтяж А 0
Fтяж

22.

§ 49 РАБОТА СИЛЫ УПРУГОСТИ
Закон Гука:
x1 1
S
x2 2
Fупр1 kx1
Fупр 2 kx2
S=x1 - x2

23.

Fсред
Fупр1 Fупр2
2
kx1 kx2 k ( x1 x2 )
2
2
S x1 x2
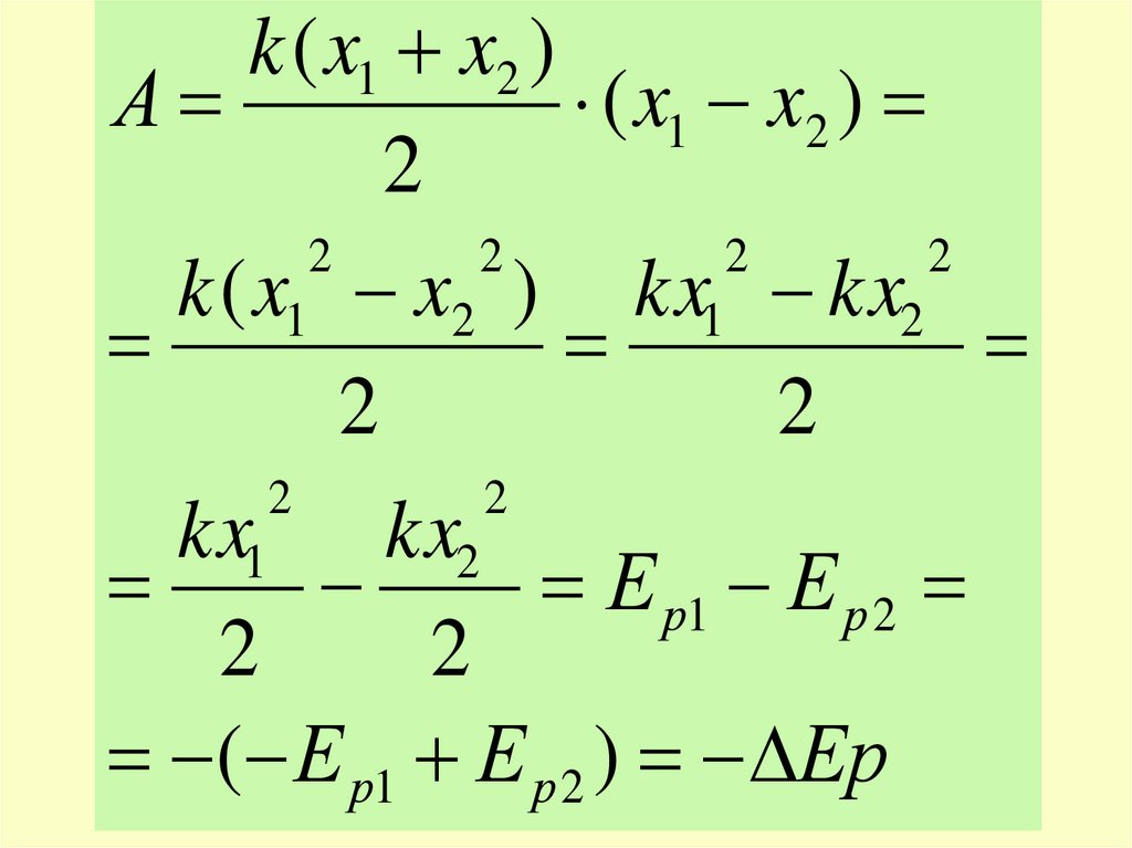
А FS cos α

24.

k ( x1 x2 )
А
( x1 x2 )
2
2
2
2
2
k ( x1 x2 ) kx1 kx2
2
2
2
2
kx1 kx2
Е р1 Е р 2
2
2
( Е р1 Е р 2 ) Ер

25.

Ер
kx
2
2
потенциальная
энергия упруго
деформированного
тела

26.

Работа силы упругости
численно = площади
трапеции ВСDМ
a b
S трап
h
2
F1 F2
( x1 x2 )
2
a F1
h x1 x2
b F2

27.

Закон сохранения в механике
А Е р1 Е р 2
( Е р 2 Е р1 ) Ер
Теорема
о кинетической энергии:
А Ек 2 Еk1 Еk

28.

Е р Е k
Е р1 Е р 2 Еk 2 Еk1
Е р1 Еk1 Е р 2 Еk 2
Полная механическая энергия,
т.е. сумма кинетической и потенциальной
энергий,
в замкнутой системе сохраняется.

29.

2
1
2
2
kx kx
A
2
2
Е р1 Е р 2
( Е р 2 Е р1 ) Ер
Работа силы упругости = изменению
потенциальной энергии, взятой со знаком «-»

30.

2
kx
Ер
2
Потенциальная энергия упруго
деформированного тела
k жесткость
x удлинение

31.

Подготовка к контрольной работе №3 по теме
« Законы сохранения в механике»
Задача 1.
Брошенный вертикально вверх камень достиг
верхней точки на высоте 20м. С какой скоростью
он был брошен?
Задача 2.
Мяч брошен вертикально вверх со скоростью 24
м/с. На какую высоту он поднимется?

32.

Задача 3
Железнодорожный вагон массой 36т,
движущийся со скоростью 1 м/с, подъезжает к
стоящей на том же пути платформе массой 24 т и
автоматически сцепляется с ней. Определите
скорость совместного движения платформы и
вагона после их сцепки.

33.

Упр.9(3), с.134
С какой скоростью двигался вагон m=20000кг по
горизонтальному пути, если при ударе о преграду
каждая пружина буфера сжалась на 10 см.
известно, что для сжатия пружины буфера на 1 см
требуется сила 10000Н. Вагон имеет 2 буфера.
Дано :
СИ Решение:
υ
m 20000кг
x1 10cм 0 ,1м
m
x2 1cм 0 ,01м
Закон Гука :
F2 10000 H
υ ?
F2 упр kx2

34.

k
F2 упр
x2
10000Н
0,01м
Н
1.000.000
м

Еk
2
2
2 Еk mυ
2

35.

2
Е
2
k
υ
m
2 Еk
υ
m
Еk Е р
Кинетическая энергия вагона при ударе
о преграду идет на работу по сжатию
двух пружин, т.е. переходит в их
потенциальную энергию.

36.

Н
2
1.000.000 (0,1м)
2
kx1
м
Е р1
2
2
Н
2
1.000.000 0,01м
10.000 Дж
м
2
2
5000 Дж потенциальная энергия
одного буфера

37.

Е р 2 Е р1 2 5000 Дж
10.000 Дж потенциальная
энергия 2 буферов
2Е р
2 Еk
υ
m
m
2 10.000 Дж
м
1
20.000кг
с
м
Ответ : υ 1
с

38.

Упр.9 (4)
Автомобиль, имеющий массу 1т, трогается с
места и, двигаясь равноускоренно, проходит
путь 20 м за время 2 с. Какую мощность при
этом развивает двигатель автомобиля?
Дано : СИ
Решение :
A
m 1т 1000кг
N
A -?
t
S 20м
t 2c
м
υ 0x 0
с
N ?

39.

А FS cos
F ma
2
axt
S x 0 xt
2
(+)
2
м
a
t
x
Т.к. 0 x 0 , то S x
с
2
(+)
a t
S
2
2

40.

a t
S
2
2
2 S at
2
2S 2 20 м 40 м
м
a 2
10
2
2
2
t
(2с)

с
м
F ma 1000кг 10 2 10.000 Н
с

41.

А FS cos FS cos o FS
10.000 Н 20 м 200.000 Дж
A 200.000 Дж
N
t

100.000 Вт 100кВт
Ответ: 100кВт

42.

Задача.
Импульс тела 8 кг∙м/с. Кинетическая энергия
тела 16 Дж. Найти массу тела.
Дано :
м
р 8кг
с
Ек 16 Дж
m ?

43.

Решение:
р mυ

mυ υ pυ
Ек
2
2
2
2 Ек рυ
2
2 Ек 2 16 Дж
м
υ
4
м
р
с
8кг
с

44.

р mυ
м
8кг
p
с
m
2кг
м
υ
4
с
Ответ : m 2кг

45.

Задача.
Импульс тела 16 кг∙м/с. Масса тела 4 кг. Найти
скорость и кинетическую энергию тела.
Дано :
м
р 16кг
с
m 4кг
υ ?
Ек ?

46.

Решение:
р mυ
м
16кг
р
м
с
υ
4
m
4кг
с

47.

2
м
4кг 4
2

с
Ек
2
2
2
м
4кг 16 2
с
32 Дж
2
м
Ответ : υ 4 , Ек 32 Дж
с

48.

Задача.
Какая работа должна быть совершена для
остановки поезда m=1000 т, движущегося со
скоростью
108км/ч
144 км/ч
English     Русский Правила