Статистические распределения
Эргодическая гипотеза: среднее по ансамблю равно среднему по времени.
Распределение молекул по скоростям. (Распределение Максвелла)
Распределение Максвелла:
Свойства распределения Максвелла:
Свойства распределения Максвелла:
Свойства распределения Максвелла:
Свойства распределения Максвелла:
Свойства распределения Максвелла:
Скорости газовых молекул
Скорости газовых молекул
Скорости газовых молекул
Средняя квадратичная скорость.
Скорости газовых молекул
3. Наивероятнейшая скорость
Скорости газовых молекул
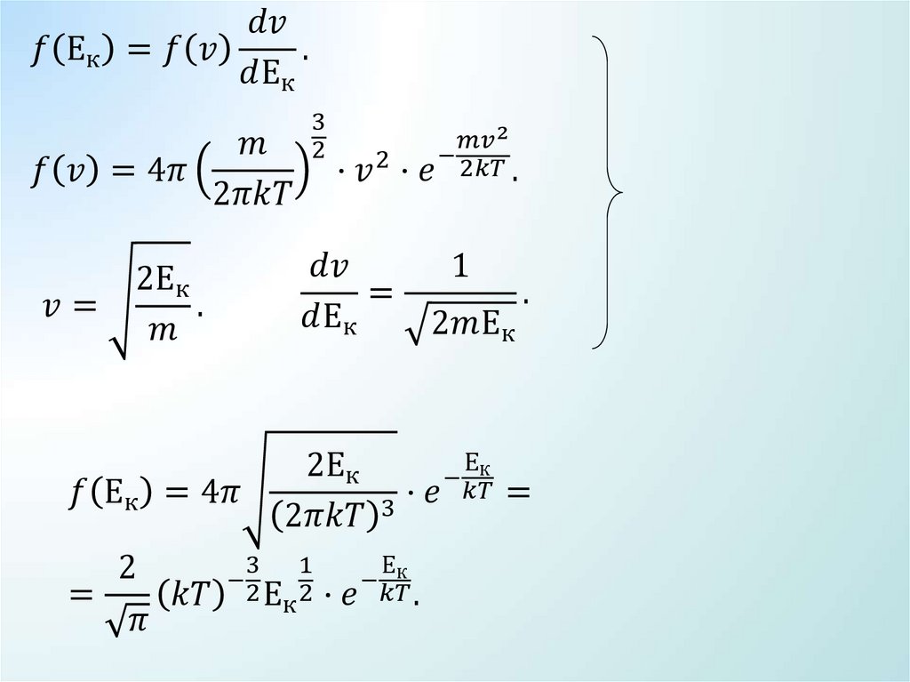
Распределение молекул по импульсам и кинетическим энергиям
Распределение молекул по импульсам и кинетическим энергиям
Распределение молекул по импульсам и кинетическим энергиям
Опыт Штерна (1888 -1970 гг.)
Опыт Штерна
Опыт Штерна
Распределение молекул по потенциальным энергиям (Распределение Больцмана)
Барометрическая формула
Барометрическая формула
Барометрическая формула
Применение: прибор для измерения высоты над поверхностью земли – высотомер (альтиметр).
Распределение молекул по потенциальным энергиям (Распределение Больцмана)
Опыт Перрена (1870 – 1942 гг.) Определение числа Авогадро
Опыт Перрена
2.00M

lek2Максвел

1. Статистические распределения

2. Эргодическая гипотеза: среднее по ансамблю равно среднему по времени.

3.

4.

5.

6.

Распределение молекул по скоростям.
(Распределение Максвелла)
функция распределения –
доля молекул,
приходящаяся на единичный интервал
скоростей вблизи некоторого значения
v, т.е. в интервале
English     Русский Правила