Лекція 12 Робота сили, що прикладена до матеріальної точки
472.57K

ДРФ л12

1. Лекція 12 Робота сили, що прикладена до матеріальної точки

1

2.

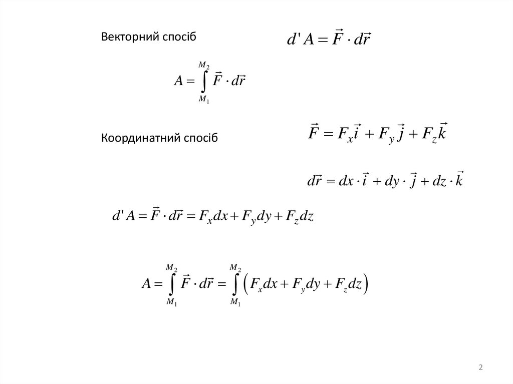
d ' A F dr
Векторний спосіб
M2
A F dr
M1
F Fx i Fy j Fz k
Координатний спосіб
dr dx i dy j dz k
d ' A F dr Fx dx Fy dy Fz dz
M2
M2
M1
M1
A F dr Fx dx Fy dy Fz dz
2

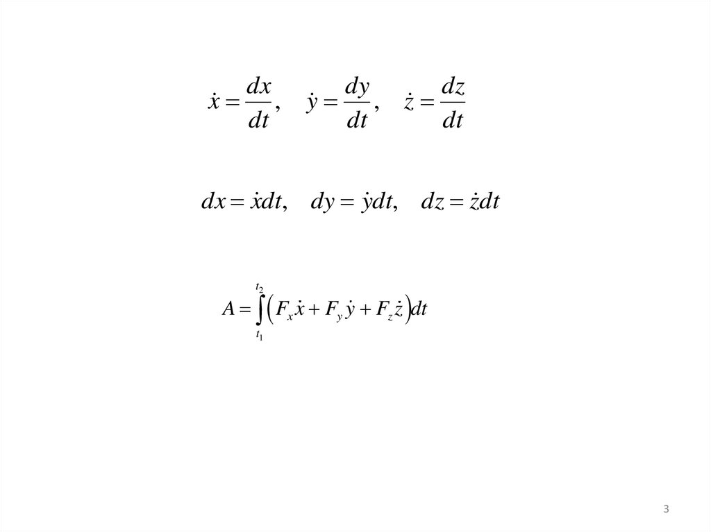
3.

dx
x ,
dt
dy
dz
y , z
dt
dt
dx x dt, dy y dt, dz z dt
t2
A Fx x Fy y Fz z dt
t1
3

4.

r
s 0 s
Натуральний спосіб
v
M s
v1
lim
dr
ds
r
M1 s1
F
r
dr ds
r1
O
d ' A F ds Fds cos(F ) Fds cos
4

5.

Теорема про роботу рівнодійної
F F1 F2 ... Fn
Fdr F1dr F2 dr ... Fn dr
n
d ' A d ' A1 d ' A2 ... d ' An d ' Ai
i 1
n
d ' A d ' Ai
i 1
5

6.

Потужність
d'A
N
dt
F dr
N
F v
dt
N
d ' A dA
[A]= Дж (джоуль),
[N]= Вт (ватт).
N F v
A
t
dA
N
dt
1кВт ч =3600 кДж
6

7.

Робота сили тяжіння
Fx 0, Fy 0, Fz mg
z
M 1 ( x1 , y1 , z1 )
d ' A Fz dz mgdz
mg
M ( x, y , z )
M 2 ( x2 , y 2 , z 2 )
M2
A mgdz mg z 2 z1
M1
O
y
x
z2 z1 h
A mgh
z2 z1 h
A mgh
A mgh
7

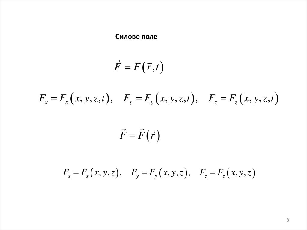
8.

Силове поле
F F r ,t
Fx Fx x, y, z , t ,
Fy Fy x, y, z , t , Fz Fz x, y, z , t
F F r
Fx Fx x, y, z , Fy Fy x, y, z , Fz Fz x, y , z
8

9.

Потенціальна енергія
I
II
A1,2
A1,2
A1,2
AMM 0
П x, y, z AMM 0
Fx Fx x, y, z ,
Fy Fy x, y, z , Fz Fz x, y , z
П
П
П
Fx
, Fy
, Fz
x
y
z
9

10.

Градієнт силового поля
E
Ф(x,y,z)
i
j
k
x
y
z
grad
i
j
k
x
y
z
F Fxi Fy j Fz k
П
П
П
F
i
j
k
y
z
x
F gradП
10

11.

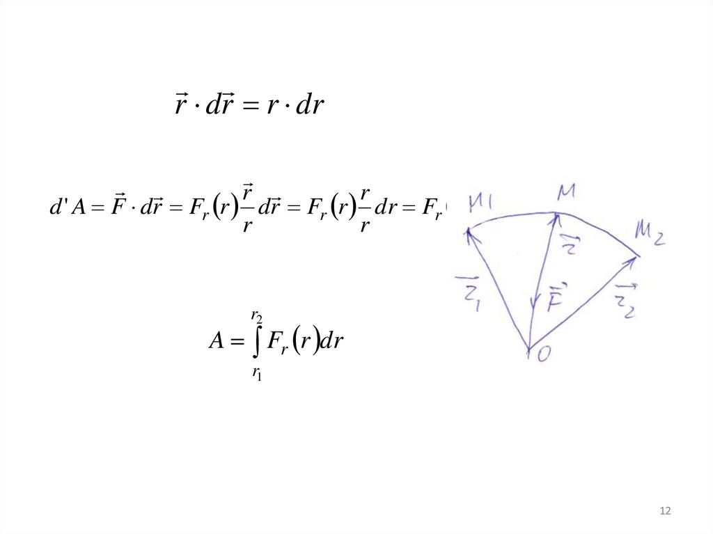
Робота центральної сили
F F r
M
M1
F
F r
r1
F
r2
O
M2
Fr r
r
F Fr r
r
r
F
r
d ' A F dr
r dr
r
11

12.

r dr r dr
r
r
d ' A F dr Fr r dr Fr r dr Fr r dr
r
r
r2
A Fr r dr
r1
12

13.

Робота сили пружності
F
M
r
M 0 : r0
M 1 : r1 r0 r1
M 2 : r2 r0 r2
...........................
M : r r0 r
M 1 : r1 r1 r0
M 2 : r2 r2 r0
............................
M : r r r0
13

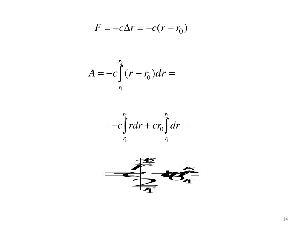
14.

F c r c(r r0 )
r2
A c (r r0 )dr
r1
r2
r2
r1
r1
c rdr cr0 dr
r
2
2
r
r
2
c
c
r
r
0
r
1
2
r
1
14

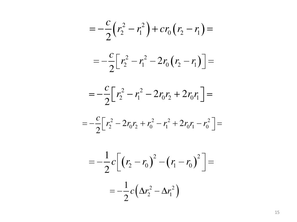
15.

c 2 2
r2 r1 cr0 r2 r1
2
c 2 2
r2 r1 2r0 r2 r1
2
c
r22 r12 2r0 r2 2r0 r1
2
c
r22 2r0 r2 r02 r12 2r0 r1 r02
2
1
2
2
c r2 r0 r1 r0
2
1
c r22 r12
2
15

16.

r1 r0
ch 2
A
2
16
English     Русский Правила