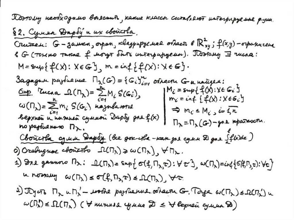
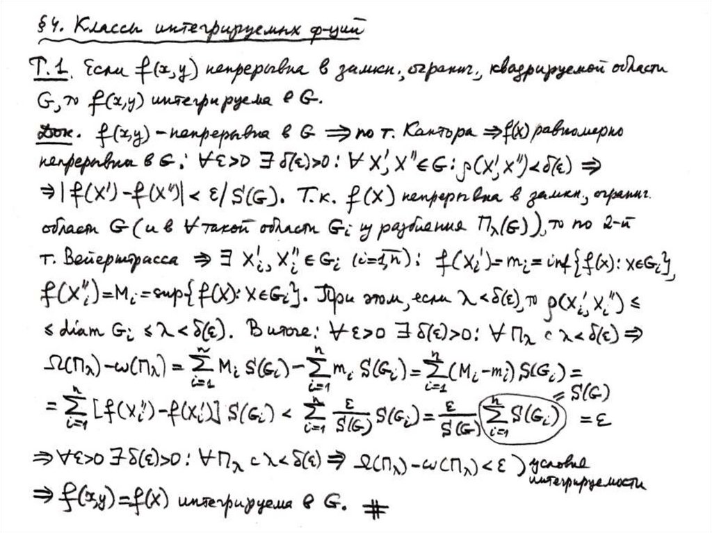
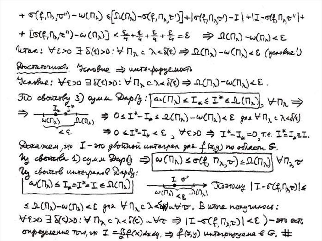
15.18M

Л7

1.

English     Русский Правила