312.02K

Презентация PPT

1.

23 декабря 2025г.
Итоги года Аптеки Надежда

2.

Выручка декабрь 2024г. - ноябрь 2025г.
а/п
Декабрь 2024г.
Январь
1
991 237,57
846 675,37
Февраль
839 926,25
Март
920 294,47
Апрель
823 993,60
Май
728 058,55
Июнь
683 467,02
Июль
723 070,29
Август
830 092,57
Сентябрь
931 735,51
Октябрь
966 355,74
Ноябрь
878 784,07
4
3 519 682,84
3 383 136,73
3 046 666,96
3 509 159,85
3 333 516,79
3 015 933,33
2 984 023,80
3 090 825,82
3 012 587,91
3 657 863,37
3 500 509,08
3 403 050,75
в т.ч. День
в т.ч. Ночь
2 651 499,51
2 572 854,14
2 343 597,74
2 706 438,21
2 468 237,66
2 135 476,92
2 143 877,27
2 196 464,20
2 184 129,34
2 689 881,02
2 713 530,73
2 665 973,71
868 183,33
810 282,59
703 069,22
802 721,64
865 279,13
880 456,41
840 146,53
894 361,62
828 458,57
786 978,35
1 085 695,70
737 077,04
1 065 861,14
5
999 562,59
951 508,57
859 741,93
1 052 242,38
933 494,04
758 475,15
785 005,18
860 197,33
860 416,42
967 982,35
1 093 417,42
7
1 369 043,77
1 194 929,30
1 286 438,90
1 513 528,67
1 379 176,57
1 278 937,45
1 130 926,84
1 212 799,46
1 278 989,24
1 491 767,74
1 512 996,24
1 452 400,90
8
3 151 746,16
2 808 064,23
2 507 863,59
2 786 206,16
2 723 538,89
2 509 806,21
2 353 152,43
2 673 016,99
2 541 202,16
3 133 507,74
2 781 128,55
2 775 428,17
1 512 243,10
1 612 047,58
9
1 488 069,57
1 256 502,11
1 379 915,94
1 486 534,43
1 542 790,93
1 319 129,51
1 241 720,07
1 270 884,24
1 295 328,16
1 510 058,86
10
1 210 504,66
1 087 175,70
1 155 788,69
1 459 454,50
1 282 549,08
1 211 844,17
1 172 727,41
1 347 712,02
1 255 253,70
1 532 269,11
1 678 155,28
1 394 770,04
1 468 766,56
442 835,77
12а
16
в т.ч. 2 касса
1 553 762,42
2 914 902,91
1 458 892,79
2 823 690,18
1 498 229,25
2 625 597,31
1 576 763,68
3 023 087,45
1 464 456,33
2 718 227,33
1 414 815,77
2 639 592,99
1 297 645,11
2 328 918,45
1 343 322,07
2 441 391,99
1 315 753,71
2 519 661,62
1 571 480,21
3 142 178,79
2 887 610,13
2 741 628,87
60 237,81
124 019,96
208 497,02
228 843,88
126 788,44
20
Итого
1 783 031,08
1 577 319,65
1 549 383,48
1 706 658,81
1 533 104,28
104 931,70
1 442 957,36
57 853,43
1 274 688,25
78 587,55
1 347 330,90
144 258,45
1 347 507,47
291 282,43
1 658 280,79
69 628,01
1 662 866,09
99 199,80
1 810 289,70
18 981 543,57
17 387 894,63
16 749 552,30
19 033 930,40
17 734 847,84
16 319 550,49
15 252 274,56
16 310 551,11
16 256 792,96
19 722 559,54
19 056 326,47
17 577 096,99
Средн. Выручка
612 307,86
560 899,83
598 198,30
613 997,75
591 161,59
526 437,11
508 409,15
526 146,81
524 412,68
657 418,65
614 720,21
585 903,23
а/п
Итого выручка
Январь
Февраль
Март
Апрель
Май
Июнь
Июль
Август
18
1 932 615,30
1 793 772,37
1 974 152,00
2 124 980,58
1 731 085,76
1 605 894,74
1 522 726,72
1 731 550,46
1 718 353,23
Сентябрь
2 021 649,94
Октябрь
1 909 511,78
Ноябрь
1 985 244,31
21
1 903 911,52
1 476 166,22
1 617 940,79
1 728 664,24
1 487 019,25
1 304 890,42
1 230 182,55
1 536 988,81
1 578 250,07
1 736 557,63
1 789 843,15
1 566 100,12
22
1 713 958,46
1 570 524,39
1 534 380,45
1 955 246,85
1 648 546,81
1 572 043,97
1 470 108,93
1 603 959,56
1 476 727,67
1 696 786,81
1 546 355,93
1 666 935,62
501 735,86
474 478,52
23
586 458,79
476 391,30
533 351,96
644 358,20
612 059,02
518 750,62
484 786,91
474 563,00
463 324,35
621 674,64
Итого
6 136 944,07
5 316 854,28
5 659 825,20
6 453 249,87
5 478 710,84
5 001 579,75
4 707 805,11
5 347 061,83
5 236 655,32
6 076 669,02
5 747 446,72
5 692 758,57
Средн. Выручка
197 965,94
171 511,43
202 136,61
208 169,35
182 623,69
161 341,28
156 926,84
172 485,87
168 924,37
196 021,58
185 401,51
189 758,62
Итого Надежда и
Надежда 1
25 118 487,64
22 704 748,91
22 409 377,50
25 487 180,27
23 213 558,68
21 321 130,24
19 960 079,67
21 657 612,94
21 493 448,28
25 799 228,56
24 803 773,19
23 269 855,56
-2 413 738,73
-295 371,41
3 077 802,77
-2 273 621,59
-1 892 428,44
-1 361 050,57
1 697 533,27
-164 164,66
4 305 780,28
-995 455,37
-1 533 917,63
Прирост

3.

График выручки за 2025г.
30 000 000,00
25 000 000,00
20 000 000,00
15 000 000,00
10 000 000,00
5 000 000,00
0,00
1
2
3
4
5
6
7
8
9
10
11
21 657 612,94
21 493 448,28
25 799 228,56
24 803 773,19
23 269 855,56
Месяц
22 704 748,91
22 409 377,50
25 487 180,27
23 213 558,68
21 321 130,24
19 960 079,67

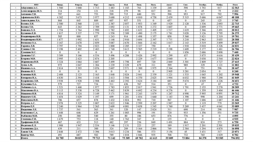
4.

ФИО
1
2
3
4
5
6
7
8
9
10
11
12
13
14
15
16
17
18
19
20
21
22
23
24
25
26
27
28
29
30
31
32
33
34
35
36
37
38
39
40
41
Абдуллина А.С.
Александрова Ж.Э.
Антонова Т.В.
Афанасьева В.Ю.
Ашкельдина Л.А.
Белова Л.Н.
Белова Т.К.
Боякова Л.Л.
Буланова Е.В.
Владимирова Н.В.
Владимирова Н.Ю.
Вотякова О.А.
Гараева Л.В.
Гужина С.М.
Гуменюк К.С.
Демкина Т.Г.
Егорова М.В.
Жарникова В.В.
Зуева А.М.
Иванова А.А.
Иванова Н.Т.
Климина Н.П.
Комарова И.А.
Кудряшова Л.В.
Кузьмина О.А.
Лобанова А.А.
Максимова В.А.
Мишнева И.В.
Никитич О.П.
Николаева И.П.
Петрова А.С.
Петрова Е.Р.
Пидалина Л.Е.
Платонова С.А.
Рыбакова М.Н.
Семенова Г.Н.
Трофимова Н.И.
Федотова Е.Л.
Хасаншина Д.А.
Хаяли Т.Н.
Цангер М.Е.
Итого:
Январь
Февраль
Март
Апрель
Май
Июнь
Июль
Август
Сент.
Октябрь
Ноябрь
Итого
1 560
214
797
4 382
868
2 580
643
1 754
1 817
585
1 877
3 167
3 797
2 198
0
3 309
2 995
3 324
975
2 814
0
2 408
4 830
3 938
579
1 521
5 113
4 814
1 654
706
2 978
2 240
1 737
1 448
250
1 679
467
1 988
439
2 848
491
81 785
1 068
154
641
3 673
845
2 560
2 263
1 764
3 337
888
1 992
2 670
1 794
2 402
0
3 166
2 423
1 064
1 047
2 393
0
2 123
2 394
1 928
727
1 468
5 338
3 324
1 029
657
3 325
1 964
541
646
380
753
433
1 947
211
2 472
687
50 853
1 713
121
753
3 977
889
2 151
2 709
1 990
1 779
857
1 631
2 859
2 023
2 483
0
4 534
2 874
3 607
1 384
3 076
0
2 163
3 418
2 508
734
1 977
6 728
3 149
1 197
878
3 807
2 565
563
629
540
118
513
2 534
300
3 396
582
79 713
1 483
218
599
3 688
607
2 387
1 692
1 782
1 558
1 243
1 148
3 087
1 800
1 740
0
3 496
2 205
3 499
1 239
2 607
0
1 848
2 413
2 463
511
1 783
5 462
3 171
699
1 432
2 822
2 609
341
1 261
355
140
482
3 146
324
3 013
789
71 142
1 183
279
715
4 212
957
2 057
2 131
1 692
2 389
914
2 910
2 670
2 285
3 613
0
4 288
761
98
680
4 010
551
1 953
1 878
1 632
1 490
1 498
3 694
1 044
3 327
3 585
0
3 426
2 229
897
679
1 300
0
2 041
4 370
3 624
767
2 017
4 692
2 243
1 034
992
2 599
3 658
147
996
186
347
236
223
3 164
586
1 046
69 702
1 339
817
551
4 758
0
1 349
1 272
1 405
2 175
1 357
2 397
2 162
750
2 219
0
2 992
1 677
720
311
1 975
0
2 339
2 825
3 184
514
1 941
4 234
1 879
1 660
710
2 207
1 545
2 824
191
653
0
849
257
2 066
573
935
61 613
248
201
598
2 439
657
1 929
1 607
1 517
1 781
858
1 711
1 817
0
2 198
0
1 299
2 040
2 869
599
2 364
2 905
1 221
1 994
685
351
1 726
4 276
1 287
1 183
567
1 987
1 760
311
720
876
135
1 491
189
749
3 156
708
55 009
598
0
953
5 315
0
2 120
0
1 619
3 028
5 360
3 210
2 143
1 910
1 609
1 856
437
0
3 301
989
0
3 281
1 533
6 032
5 674
0
1 791
0
4 998
1 390
1 107
0
5 269
690
933
776
0
884
1 917
2 384
45
732
73 884
1 792
45
917
5 686
245
1 536
2 699
2 366
3 126
3 821
2 963
3 519
3 018
3 177
2 686
3 875
3 038
2 809
329
751
2 054
1 045
1 980
4 029
47
2 155
1 359
5 995
990
1 686
1 119
3 437
214
1 356
0
0
824
2 201
1 294
3 431
765
84 378
817
75
792
6 047
125
2 093
2 771
2 491
3 795
2 319
5 055
3 899
3 326
1 481
2 898
4 616
2 544
3 727
1 121
596
0
1 202
7 290
4 226
67
2 278
3 404
6 891
1 204
1 687
779
4 041
298
551
0
0
273
2 501
4 878
317
1 029
93 505
12 563
2 222
7 996
48 188
5 745
22 715
19 665
20 012
26 275
19 701
28 588
29 037
24 031
26 706
7 440
35 439
22 024
27 615
11 002
20 447
8 240
19 948
41 049
34 651
4 732
20 509
46 446
39 712
13 241
11 446
23 569
33 089
7 987
9 735
4 095
4 935
6 750
19 035
16 098
23 071
8 782
796 892
1 798
2 329
2 571
0
2 024
3 504
2 392
436
1 853
5 839
1 961
1 201
1 024
1 946
4 001
320
1 003
80
1 762
297
2 131
289
3 234
1 018
75 309

5.

Итого бонусы за 2025г.
Ряд1
48 188
46 446
41 049
35 439
39 712
34 651
33 089
29 037
28 588
26 275
22 715 20 012
19 665
26 706
24 031
19 701
12 563
22 025
23 569
20 447
19 948
5 745
7 440
23 071
20 509
19 035
16 098
13 241
11 446
11 002
7 996
2 222
27 615
8 240
4 732
9 735
7 987
6 750
4 935
4 095
8 782

6.

7.

Вотякова О.А.
4 500
4 000
3899
3 519
3 500
3 167
3 087
3 000
2 859
2 670
2 670
2 500
2 162
Вотякова О.А.
2 143
2 000
1 817
1 500
1 044
1 000
500
0
1
2
3
4
5
6
7
8
9
10
11

8.

ООО ТПО "НАДЕЖДА"
Анализ счета 41.12 за
Сентябрь - Декабрь 2025 г.
Выводимые данные: БУ (данные бухгалтерского учета)
Отбор: Склады Равно "Аптечный пункт №4 ул.Ленина, д.20а"
Счет
Склады
Период
41.12
Аптечный пункт №4
ул.Ленина, д.20а
Обороты за Сентябрь 25
Кор. Счет
Дебет
Кредит
Начальное сальдо
Начальное сальдо
1 583 762,15
1 583 762,15
Начальное сальдо
1 583 762,15
13 900,00
952 080,07
2 837 721,66
Обороты за Октябрь 25
41
42
60
90
91
Оборот
Конечное сальдо
Начальное сальдо
24 505,00
915 661,57
2 748 314,13
Обороты за Ноябрь 25
41
42
60
90
91
Оборот
Конечное сальдо
Начальное сальдо
41
42
60
90
91
Оборот
Конечное сальдо
Оборот
Конечное сальдо
Оборот
Конечное сальдо
180 561,16
766 575,76
2 394 742,00
3 803 701,73
1 726 440,60
1 726 440,60
3 688 480,70
1 904 319,53
1 904 319,53
3 341 878,92
1 828 278,79
10 834 061,35
1 828 278,79
10 834 061,35
1 828 278,79
740,00
1 174,00
3 657 863,37
1 245,91
3 661 023,28
3 708,00
5 932,00
3 500 509,08
452,69
3 510 601,77
943,00
13 387,00
3 403 050,75
538,91
3 417 919,66
10 589 544,71
10 589 544,71

9.

ООО "ТПО НАДЕЖДА 1"
Анализ счета 41.12 за Сент
ябрь 2025 г. Декабрь 2025 г.
Выводимые данные: БУ (данные бухгалтерского учета)
Отбор: Склады Равно "Аптечный пункт №23 с.Новые Параты"
Счет
Склады
Период
41.12
Аптечный пункт №23
с.Новые Параты
Обороты за Сентябрь 25
Кор. Счет
Дебет
Кредит
Начальное сальдо
Начальное сальдо
824 960,31
824 960,31
Начальное сальдо
824 960,31
166 263,11
440 775,23
Обороты за Октябрь 25
42
60
90
91
Оборот
Конечное сальдо
Начальное сальдо
Обороты за Ноябрь 25
41
42
60
90
Оборот
Конечное сальдо
Начальное сальдо
42
60
90
Оборот
Конечное сальдо
Оборот
Конечное сальдо
Оборот
Конечное сальдо
607 038,34
810 261,77
810 261,77
49,00
621 674,64
13,24
621 736,88
9 483,00
148 380,35
378 745,84
527 126,19
820 953,10
820 953,10
113 950,71
320 233,49
434 184,20
780 086,78
1 568 348,73
780 086,78
1 568 348,73
780 086,78
5 216,00
501 735,86
516 434,86
572,00
474 478,52
475 050,52
1 613 222,26
1 613 222,26
English     Русский Правила