Углом какой четверти является угол равный:
Углом какой четверти является угол равный:
Углом какой четверти является угол равный:
ТЕМА УРОКА:
Какой четверти принадлежит угол, если :
1.56M

48. Знаки синуса, косинуса, тангенса

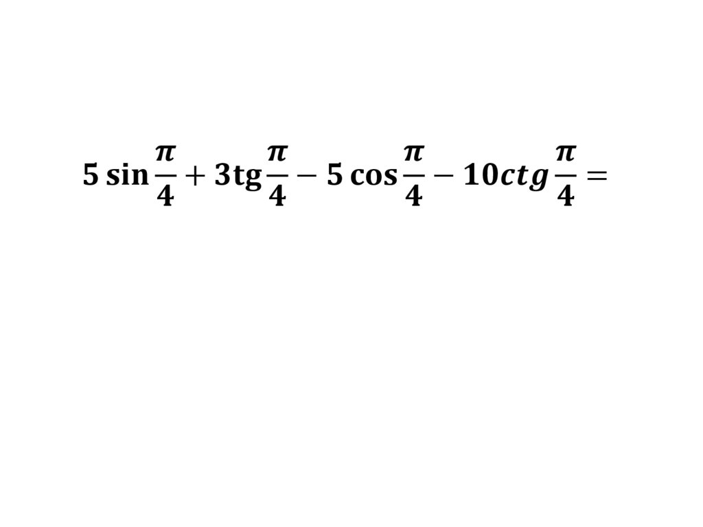
1.

Знаки синуса, косинуса,
тангенса и котангенса.

2.

Назовите четверть в которой будет находиться
точка при повороте на угол
English     Русский Правила