Энергия – универсальная мера движения и взаимодействия
Энергия
Механическая энергия
Работа
Работа постоянной силы
Работа постоянной силы
Работа постоянной силы
Работа переменной силы
Скалярное произведение
Свойства скалярного произведения
Работа переменной силы
Работа переменной силы
Кинетическая энергия и ее связь с работой внешних сил
Кинетическая энергия
Кинетическая энергия
Теорема о кинетической энергии
Кинетическая энергия системы
Консервативная сила
Работа консервативной силы
Консервативная сила
Консервативная сила
Работа силы тяжести по вертикали
Работа силы тяжести по произвольной траектории
Потенциальная энергия
Потенциальная энергия в поле силы тяжести Земли
Работа при деформации пружины
Потенциальная энергия упругой деформации
Потенциальная энергия
Одномерный случай
Компоненты силы в трехмерном случае
Связь потенциальной энергии и консервативной силы
Изменение механической энергии системы
Изменение механической энергии
Закон сохранения механической энергии
Мощность
Мощность
Кинетическая энергия вращающегося тела
Кинетическая энергия вращающегося тела
Теорема Кенига
1.22M
Категория: ФизикаФизика

Работа и энергия 2024

1. Энергия – универсальная мера движения и взаимодействия

2. Энергия

• Скалярная величина, единая
мера всех форм движения
• Сумма всех видов энергии,
полная энергия остается
неизменной, какие бы процессы
ни происходили в системе

3. Механическая энергия

• Мера механического движения
системы и мера механического
взаимодействия тел системы
между собой и окружающей
средой

4.

• Численно механическая
энергия принимается равной
работе, которую может
совершить система против
действия внешних сил

5. Работа

6. Работа постоянной силы

7. Работа постоянной силы

8.

• Если - острый, то А>0 и сила
является движущей.
• Если - тупой, то А<0 и сила
является тормозящей.
• Если =900 , то А=0. Сила не
совершает работу.

9. Работа постоянной силы

F
FS
A
x
S

10. Работа переменной силы

• Элементарная работа –
работа, совершаемая
силой при маленьком
перемещении.

11. Скалярное произведение

• Скалярное произведение
векторов А и В – число С,
равное

12. Свойства скалярного произведения

13. Работа переменной силы

14. Работа переменной силы

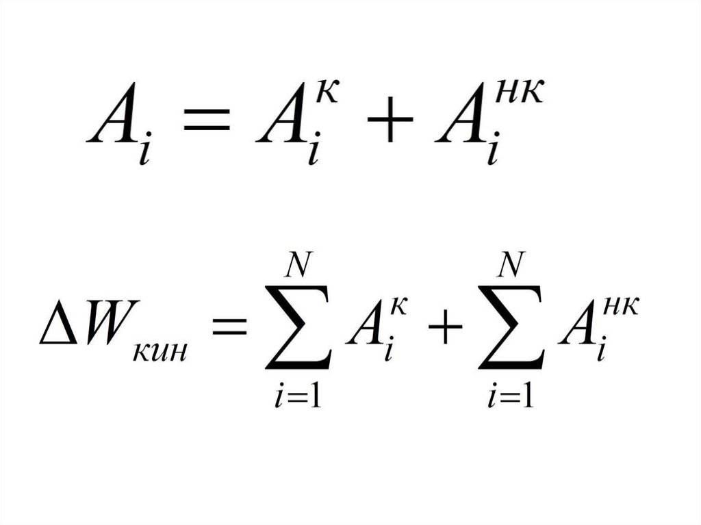
15. Кинетическая энергия и ее связь с работой внешних сил

16. Кинетическая энергия

• Энергия механического движения
системы.
Способность
тела,
движущегося
с
некоторой
скоростью, совершить работу,
если его остановить.

17. Кинетическая энергия

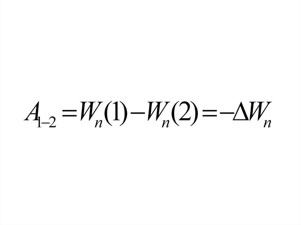
18. Теорема о кинетической энергии

19. Кинетическая энергия системы

20. Консервативная сила

• Если она зависит только от
положения тела, а
производимая ею работа
зависит только от начального и
конечного положения частицы в
пространстве и не зависит от
формы ее траектории

21. Работа консервативной силы

22. Консервативная сила

• Ее работа по замкнутой
траектории равна нулю

23. Консервативная сила

• Ее работа по замкнутой
траектории равна нулю

24. Работа силы тяжести по вертикали

1
A1-2=mgh
h
2

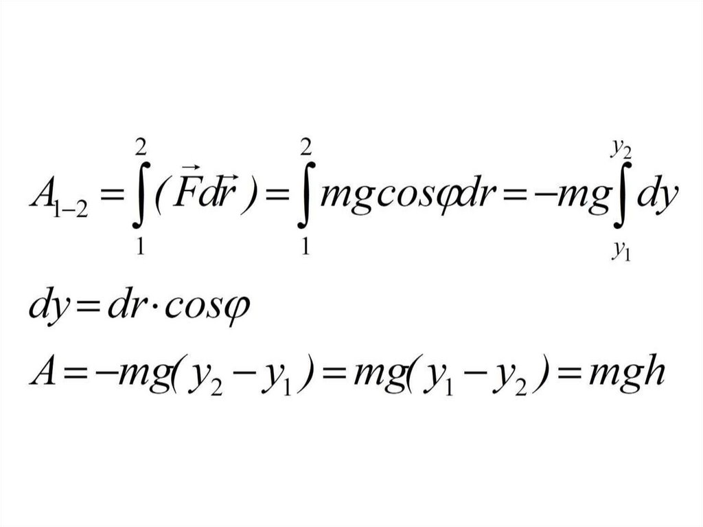
25. Работа силы тяжести по произвольной траектории

y
y2
1
dr
y1
2
mg
x

26.

27.

28. Потенциальная энергия

• Величина, равная работе
консервативных сил,
действующих на систему, при
перемещении этой системы из
данного состояния в состояние
нулевой конфигурации

29. Потенциальная энергия в поле силы тяжести Земли

30. Работа при деформации пружины

F, Н
x, см

31. Потенциальная энергия упругой деформации

32. Потенциальная энергия

33. Одномерный случай

34. Компоненты силы в трехмерном случае

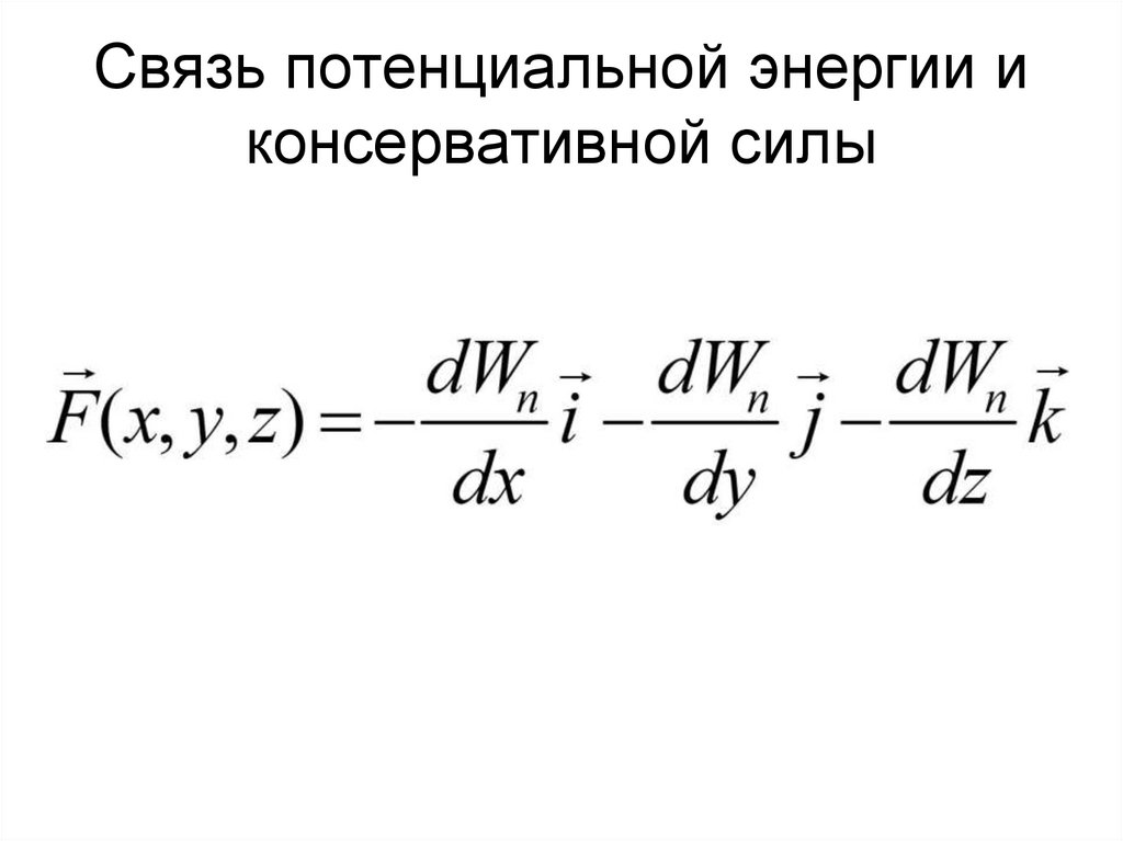
35. Связь потенциальной энергии и консервативной силы

36.

37. Изменение механической энергии системы

38.

39.

40.

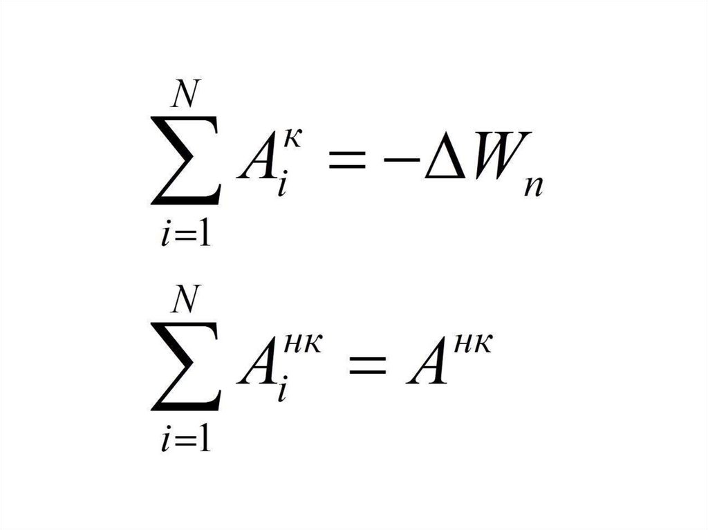
41. Изменение механической энергии

• Изменение полной механической
энергии системы равно
алгебраической сумме работ всех
неконсервативных сил,
действующих на систему.

42. Закон сохранения механической энергии

• Механическая энергия
замкнутой системы не
изменяется, если все
внутренние силы консервативны

43. Мощность

• Мощность –
скорость, с
которой
совершается
работа.
Средняя мощность

44. Мощность

• Мощность - скорость
преобразования энергии.

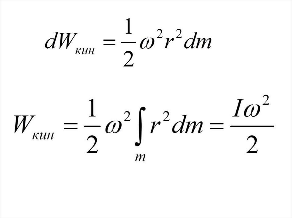
45. Кинетическая энергия вращающегося тела

• Разобьем тело на маленькие
участки массами dm.
• Выразим скорость через
угловую

46.

47. Кинетическая энергия вращающегося тела

48. Теорема Кенига

English     Русский Правила