ПОМЕХОУСТОЙЧИВОСТЬ ПРИ ДЕТЕКТИРОВАНИИ
Сигнал амплитудная импульсная модуляция
Помеха (шум)
Для белого шума
491.50K
Категория: МатематикаМатематика

Помехоустойчивость при детектировании

1. ПОМЕХОУСТОЙЧИВОСТЬ ПРИ ДЕТЕКТИРОВАНИИ

Помехоустойчивость – способность
противостоять вредному влиянию помех
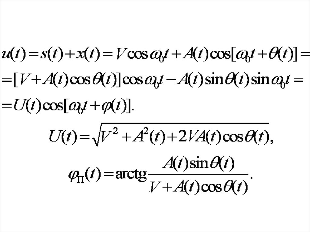
u (t ) s(t ) x(t )
преобразователь
частоты
Мера
помехоустойчивости
отношение сигнал/шум
детектор

2. Сигнал амплитудная импульсная модуляция

3. Помеха (шум)

Считаем, что шум x(t) – стационарный случайный
процесс с нормальным (гауссовским) законом
распределения, нулевым средним. На входе УПЧ
спектр мощности шума равен W0 = const, т.е. это
белый шум. Спектр мощности на выходе УПЧ
x(t )
G(ω) = W0K2(ω), K2(ω) – квадрат АЧХ УПЧ.

4.

Нормальный (гауссовский) ССП
1 0
1
2
μ1 – среднее, σ2 – дисперсия (средняя мощность) шума

5.

По теореме Винера-Хинчина

6.

7. Для белого шума

8.

Фазовый детектор
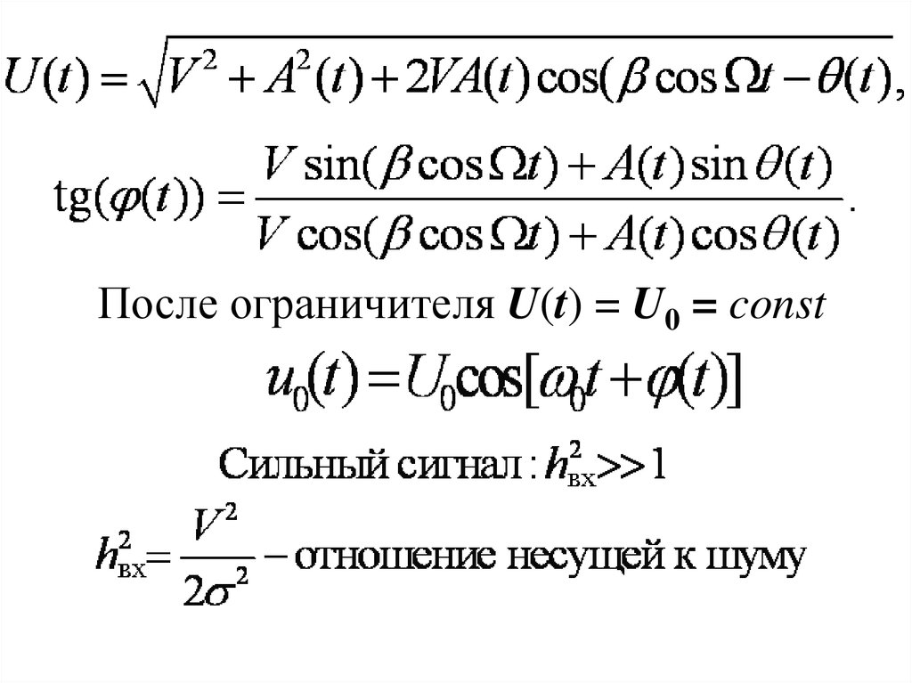
Вход: отношение несущая/шум

9.

После ограничителя U(t) = U0 = const

10.

11.

12.

13.

Амплитудный линейный детектор
z(t)=ms(t)+x(t)
усилитель
промежуточной
частоты (УПЧ)
амплитудный
детектор
усилитель
низкой
частоты (УНЧ)

14.

Реализации узкополосного ССП – это квазигармонические
колебания: x(t) = A(t) cos[ω0t + θ(t)], A и θ случайные
Функция автокорреляции R(τ) = R0(τ) cosω0τ.

15.

16.

17.

18.

19.

20.

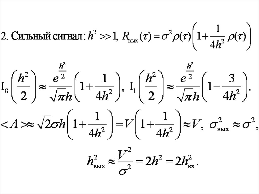
Функция Бесселя от
мнимого аргумента
Функция Бесселя от
действительного
аргумента
Отношение сигнала к
шуму на выходе
линейного детектора

21.

Приращение:

22.

23.

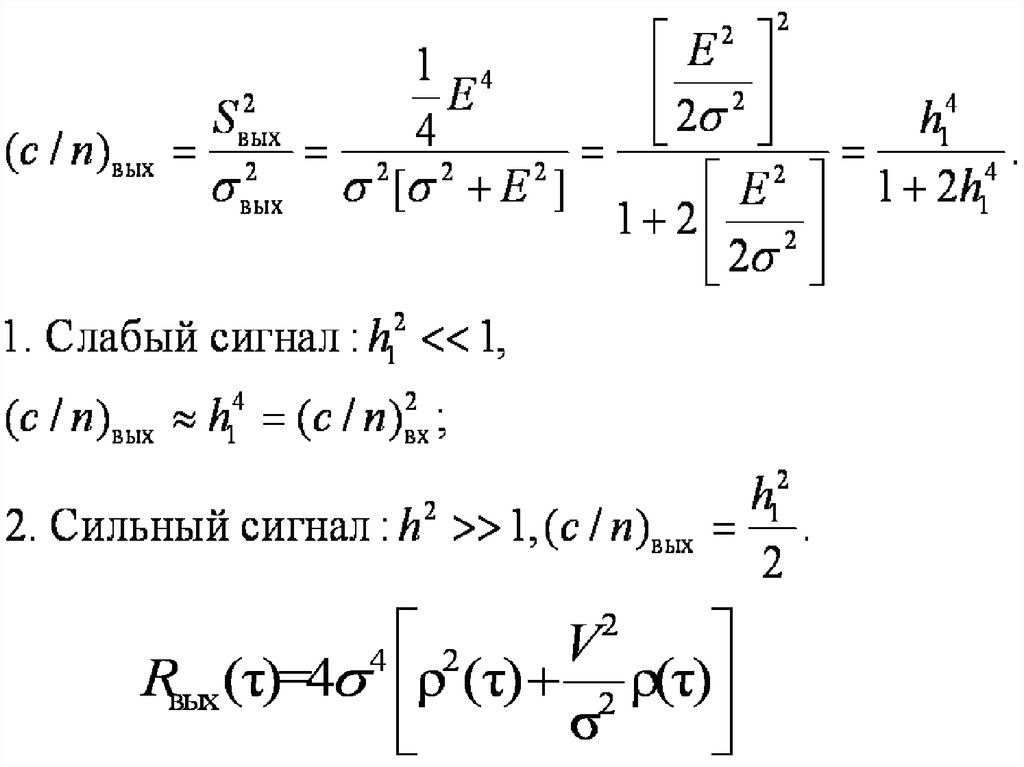
Амплитудный квадратичный детектор
z(t)=ms(t)+x(t)
усилитель
промежуточной
частоты (УПЧ)
Δω
амплитудный
детектор
усилитель
низкой
частоты (УНЧ)
ΔΩ
English     Русский Правила