х2 = а
Примеры
Помните:
Домашнее задание
125.35K
Категория: МатематикаМатематика

Практикум по теме х2 = а

1. х2 = а

2
х

а 0, то решений нет.
Если а = 0, то х = 0.
Если а 0, то х1 а и х2 а .
Если

2.

3. Примеры

а) х2 = 16, х1 16 4 и
Ответ: -4; 4.
б) х2 = 3, х1 3
Ответ: 3; 3.
и
в) х2 = - 4 – решений нет.
х2 16 4.
х2 3.

4.

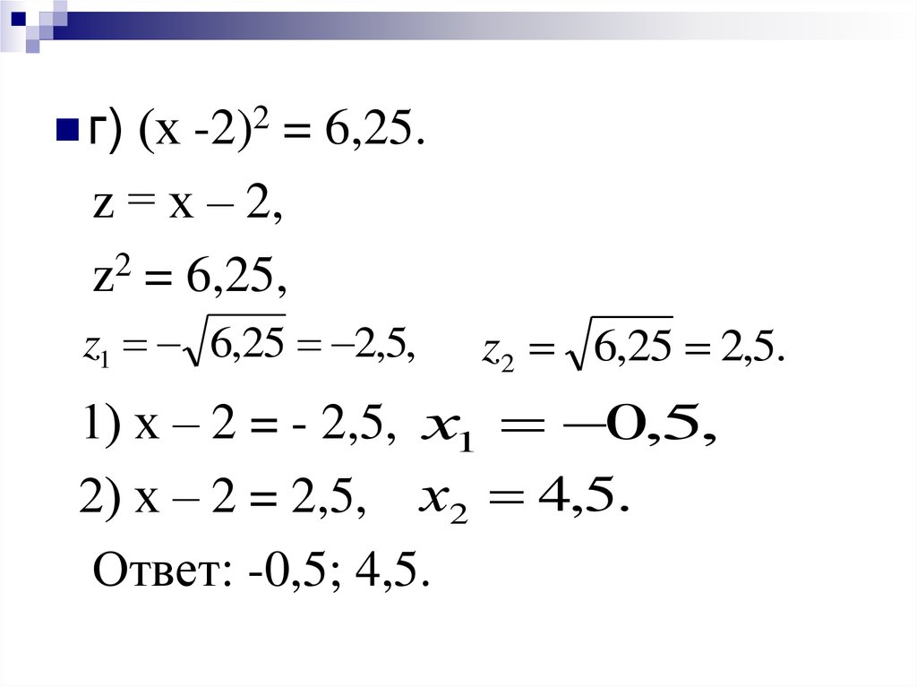
г)
(х -2)2 = 6,25.
z = х – 2,
z2 = 6,25,
z1 6,25 2,5,
z2 6,25 2,5.
1) х – 2 = - 2,5, х1 0,5,
2) х – 2 = 2,5, х2 4,5.
Ответ: -0,5; 4,5.

5. Помните:

«Образование есть то, что
остается, когда все выученное
уже забыто».
М. Лауэ

6. Домашнее задание

п. 13-14 повторить,
примеры из презентации записать,
выполнить задания в тетради:
а) х2 = 169
б) х2 = -225
в) х2 = 13
г) (х+0,5)2 = 0,04
English     Русский Правила