353.29K
Категория:
Математика
Похожие презентации:
Функция y=kx
Как построить график функции y=f(x+l)+m из графика функции y=f(x)
Как построить график функции y=f(x)+m, если известен график функции y=f(x)
Линейная функция y=kx
Как построить график функции y=f(x+l)+m, если известен график функции y=f(x)
Линейная функция y=kx
Построение графика функции y = f (x)+m, если известен график функции y = f (x)
Построение графика функции y = f (x)+m, если известен график функции y = f (x)
Как построить график функции y=f(x+l)+m, если известен график функции y=f (x)
Как построить график функции y=f(x)+m, если известен график функции y=f(x) (8 класс)
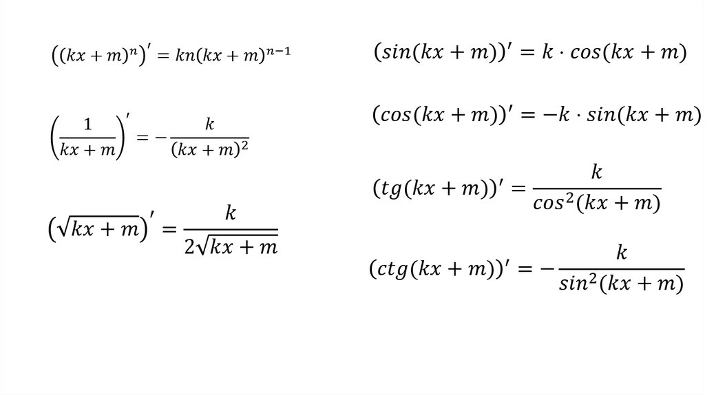
Дифференцирование функции y=f(kx+m)
1.
Дифференцирование функции y=f(kx+m)
Дифференцирование
функции
English
Русский
Правила