5.32M
Категория:
Математика
Похожие презентации:
Разделение переменных в уравнении Лапласа в сферических координатах. Сферические и шаровые функции Лапласа
Сферическая система координат
Полярная система координат
Полярная система координат
Полярная система координат
Полярная система координат
Полярная система координат
Полярная система координат
Полярные координаты
Полярные координаты
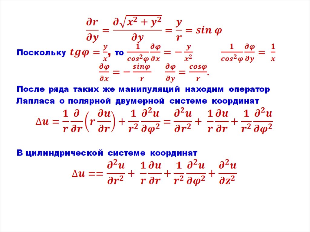
Оператор Лапласа в полярных, цилиндрических и сферических системах координат
1.
English
Русский
Правила