547.72K
Категория: МеханикаМеханика

Контроль цилиндрических изделий наружными проходными ВТП с однородным магнитным полем

1.

Влияющие факторы:
1. Геометрические
• Зазор между ВТП и ОК;
• Приближение к краю ОК;
• Изменение геометрических размеров
(толщина стенки, галтельные переходы);
• Шероховатость поверхности.
2. Структурные
• Электрическая проводимость материала ОК;
• Магнитная проницаемость материала ОК;
• Химический состав;
• Зернистость;
• Термообработка;
• Наклеп.
Обобщенный параметр ВТК:
R 0
где R – радиус эквивалентного витка обмотки ВТП;
ω – круговая частота тока обмотки возбуждения;
μμ0 – абсолютная магнитная проницаемость среды
σ – удельная электропроводность среды.

2.

Годограф – (согласно ГОСТ 24289-80) геометрическое место концов вектора ЭДС
или напряжения на комплексной плоскости (значения которого в разные
моменты времени отложены от общего начала), полученное в результате
изменения частоты, удельной электропроводности, относительной магнитной
проницаемости, размеров ОК, других влияющих факторов или образованных из
них обобщенных переменных величин.
Годограф вектора напряжения на комплексной плоскости

3.

Годографы вносимого напряжения
накладного ВТП над
ферромагнитным проводящим
полупространством

4.

ВИХРЕТОКОВЫЙ КОНТРОЛЬ С ПОМОЩЬЮ ПРОХОДНЫХ
ПРЕОБРАЗОВАТЕЛЕЙ
КОНТРОЛЬ ЦИЛИНДРИЧЕСКИХ ИЗЕЛИЙ НАРУЖНЫМИ
ПРОХОДНЫМИ ВТП С ОДНОРОДНЫМ МАГНИТНЫМ ПОЛЕМ
Разновидности наружных проходных ВТП:
1 – ОК; 2 – возбуждающие, 3 – измерительные катушки; Lв, Lи –
длина возбуждающей и измерительной обмоток; Dв, Dи – диаметр
возбуждающей и измерительной обмоток соответственно; d –
расстояние между возбуждающими обмотками.

4
2 Rв
Lи Lв
d Rв
Dи Dв

5.

Круговой цилиндр в наружном проходном ВТП
H t H 0 sin t
e параметры ОК ?
1. Ф(t)
2. A

6.

1.
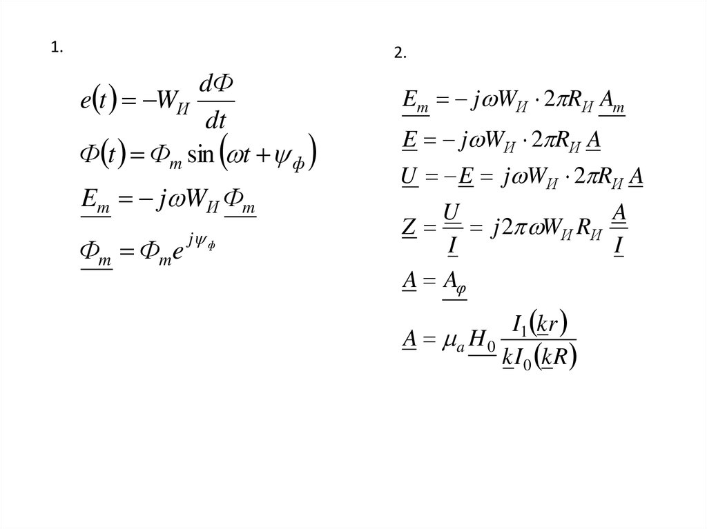
2.

e t WИ
dt
Ф t Фm sin t ф
Em j WИ Фm
Фm Фme
j ф
Em j WИ 2 RИ Am
E j WИ 2 RИ A
U E j WИ 2 RИ A
A
U
j 2 WИ RИ
I
I
A A
Z
I1 kr
A a H 0
k I 0 k R

7.

Фу́нкции Бе́сселя в математике — семейство функций,
являющихся каноническими решениями дифференциального
уравнения Бесселя:
где α — произвольное вещественное число (в общем случае —
комплексное), называемое порядком.

8.

A a H 0
I1 kr
k I 0 k R
k j a
J j A j a H 0
I1 kr
I kr
k H0 1
k I 0 k R
I 0 x
x kR
H*
H
H0
J*
J
j0
J0 kH0
Распределение модулей относительных значений
напряженности магнитного поля (а) и плотности
вихревых токов (б) в круговом цилиндре
I1 x
I 0 x
English     Русский Правила