Вывод волнового уравнения
1.07M
Категория: МатематикаМатематика

Математические методы решения задач по акустике волнового уравнения. Фундаментальные решения волновых уравнений

1.

Лекция 2.
Математические методы решения задач по
акустике волнового уравнения.
Фундаментальные решения волновых
уравнений. Обобщенные функции в
акустических задачах. Решение прямой
акустической задачи – волны в пространстве

2. Вывод волнового уравнения

3.

4.

Основные акустические формулы
- волновое уравнение
- амплитуда колебательной скорости
- амплитуда смещения
- средняя интенсивность колебаний
- средняя плотность энергии волны

5.

6.

7.

8.

9.

10.

11.

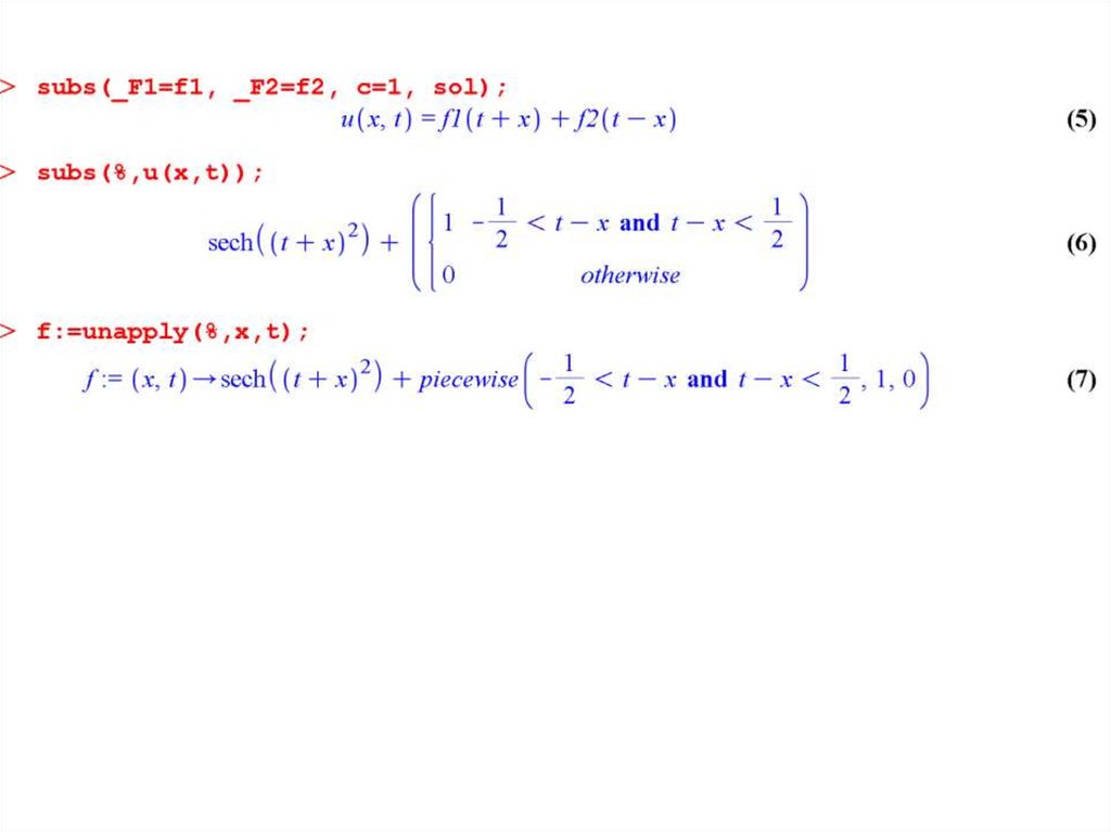
Решение волнового уравнения в Maple
English     Русский Правила