4.78M
Категория:
Биология
Похожие презентации:
Белковый обмен. Обмен нуклеопротеинов
Обмен нуклеопротеинов. (Лекция 17)
Обмен нуклеопротеинов
Нуклеопротеины и нуклеиновые кислоты
Обмен нуклеотидов
Обмен нуклеотидов. (Лекция 13)
Обмен нуклеотидов. Строение мононуклеотида
Обмен белков - 2
Обмен нуклеотидов. Матричные биосинтезы
Нуклеозиды, нуклеотиды, нуклеиновые кислоты: функции и обмен
Обмен нуклеопротеинов
1.
ОБМЕН НУКЛЕОПРОТЕИНОВ
2.
Переваривание нуклеотидов в ЖКТ
3.
4.
Синтез пуриновых нуклеотидов de novo
5.
6.
7.
8.
9.
10.
11.
12.
13.
14.
15.
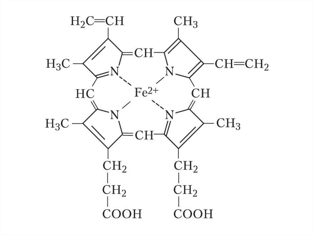
ОБМЕН ХРОМОПРОТЕИНОВ.
ПИГМЕНТНЫЙ ОБМЕН И ЕГО
НАРУШЕНИЯ
English
Русский
Правила