71.07K
Категория: МатематикаМатематика

Сократите дробь

1.

II. Устная работа.
– Сократите дробь:
.
20
;
32
13
;
39
24
56
;
7
6
;
;
28 21
10
;
45
2
;
6
27
.
72

2.

1.Какие существуют способы разложения
многочлена на множители?
2. В чём состоит каждый из этих
способов?

3.

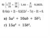
3. Разложите на множители многочлен:
а) х2у – 2х;
б) 3a2b – 9ab2;
в) т2 – 4;
г) а3 – а;
д) х2 + 6х + 9;
е) а2 – 10а + 25;
ж) ax + bx + ay + by.
з) ab – b + 3a – 3.
English     Русский Правила