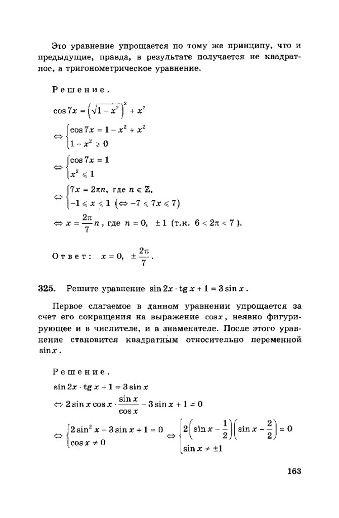
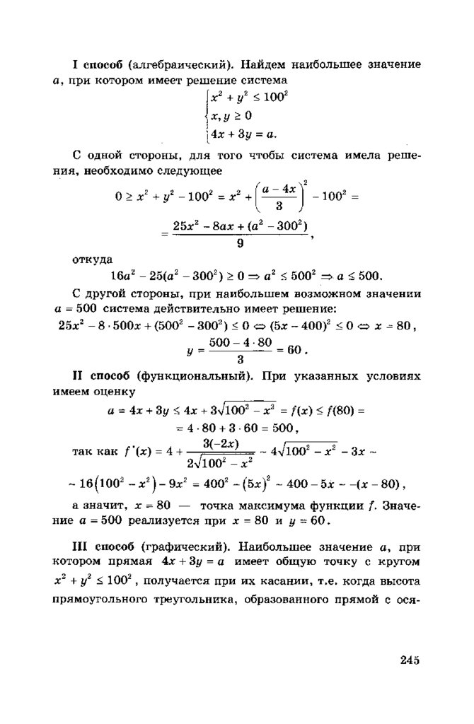
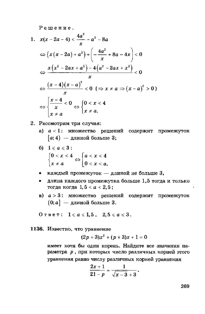
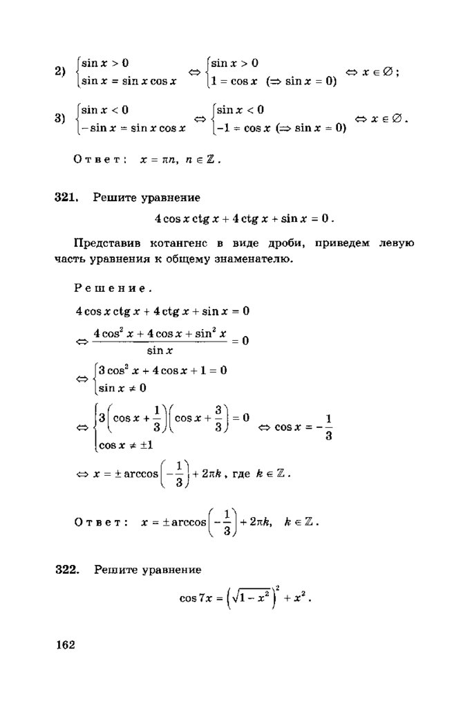
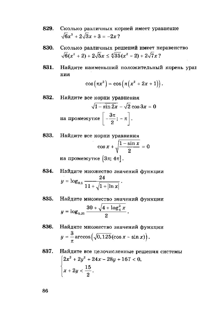
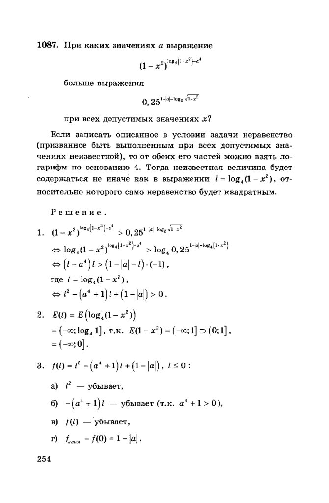
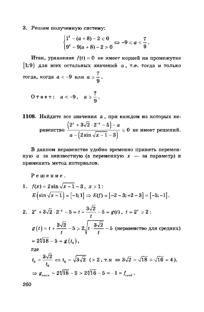
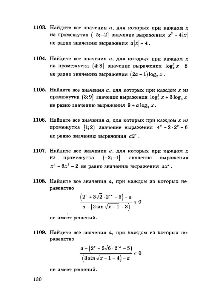
3.08M
Категория:
Математика
Похожие презентации:
ЕГЭ. 1000 задач
ЕГЭ. Решение задач
Решение задач ЕГЭ
Решение задач 14 ЕГЭ
Методы проверки ответа решенной задачи
Решение задач. Подготовка к ЕГЭ
Решение задач ЕГЭ по матеиатике
Решение задач № 6 ЕГЭ
Решение задач ЕГЭ. Производная
Решение геометрических задач при подготовке к ЕГЭ
ЕГЭ. 1000 задач с ответами и решениями
1.
English
Русский
Правила