2.61M
Категория:
Физика
Похожие презентации:
Область устойчивости, запасы устойчивости
Понятие устойчивости. Статическая и динамическая устойчивость (СиДУ)
Понятие устойчивости. Лекция 9
Проблема устойчивости атмосферы планет
Устойчивость равновесия сжатого стержня. Понятие устойчивости
Тема 6. Устойчивость САУ. Лекция 11. Критерий устойчивости Найквиста для статических и астатических САУ. Запас устойчивости
Определение стойкости к абразивному износу
Обеспечение стойкости ЭС к электромагнитным и ионизирующим излучениям
Исследование устойчивости САР с помощью программы VisSim
Практический критерий Найквиста. Запас устойчивости САР
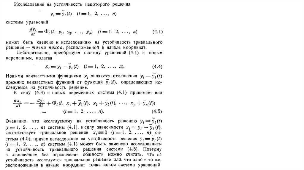
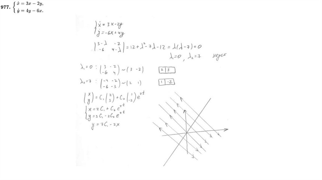
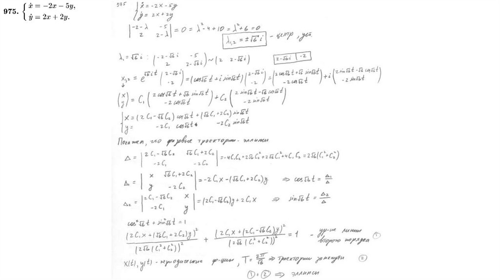
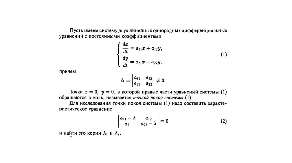
Теория устойчивости. Простейшие типы точек покоя
1.
Теория устойчивости.
Простейшие типы точек покоя.
2.
3.
4.
5.
6.
7.
8.
9.
10.
11.
12.
13.
14.
15.
16.
17.
Домашнее задание
961-978 (остальные)
English
Русский
Правила