4.31M
Категория:
Математика
Похожие презентации:
Решение систем линейных алгебраических уравнений. Тема 3
Решение систем линейных алгебраических уравнений
Решение систем линейных алгебраических уравнений
Решение систем линейных алгебраических уравнений
Решение систем линейных алгебраических уравнений
Решение систем линейных алгебраических уравнений
Алгоритмы решения систем линейных алгебраических уравнений
Методы решения систем линейных алгебраических уравнений
Решение систем линейных алгебраических уравнений. Тема 2
Решение систем линейных алгебраических уравнений (СЛАУ)
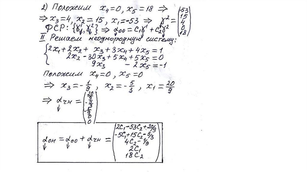
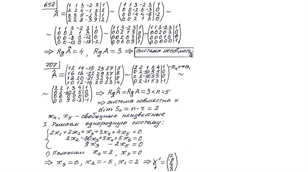
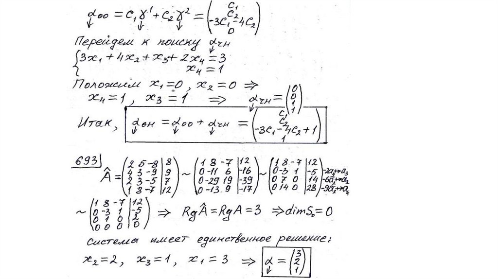
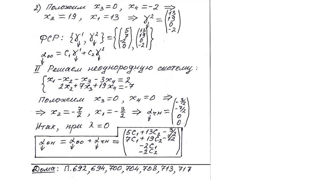
Решение неоднородных систем линейных алгебраических уравнений. Семинар 3
1.
English
Русский
Правила