2.57M
Категория: МатематикаМатематика

Алгебраические уравнения

1.

Алгебраические уравнения
Задание №5, 7, 11, 12, 17, 18 ЕГЭ

2.

деление на h(x) недопустимо!

3.

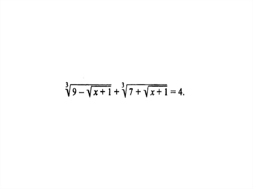
4.

3
3
3
(5 + х)2 + 4 (5 − х)2 = 5 25 − х2

5.

6.

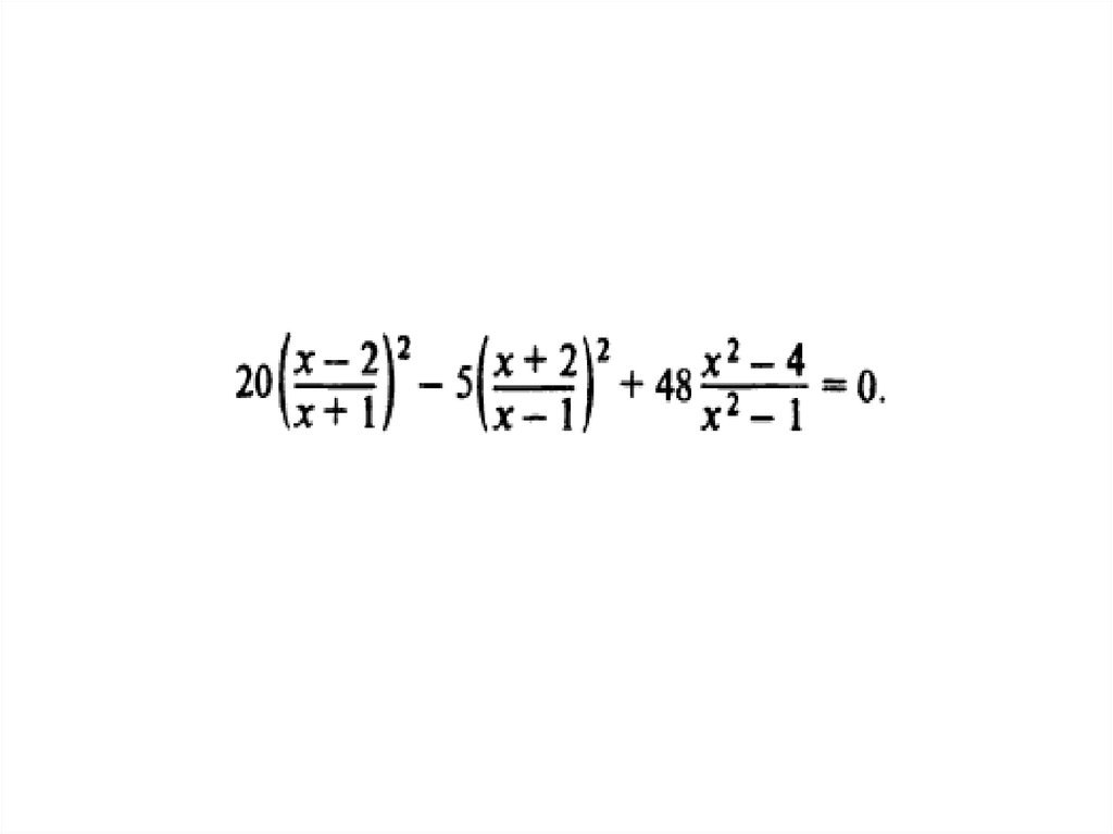
7.

8.

Домашнее задание по блоку алгебраические уравнения

9.

Логарифмические и показательные уравнения
Основные свойства и формулы

10.

Показательная функция и ее свойства

11.

12.

Логарифмическая функция и ее свойства

13.

Понятие логарифма

14.

Логарифмирование и потенцирование

15.

16.

Логарифмическое уравнение

17.

18.

19.

20.

21.

22.

23.

24.

25.

26.

27.

28.

29.

30.

31.

32.

33.

34.

Домашнее задание
English     Русский Правила