27.38M
Категория: ХимияХимия

Реакции неполного окисления в органике

1.

Реакции неполного окисления в
органике

2.

Структурные (не молекулярные, кроме…)
CH
HC
CH
HC
CH
CH

3.

Алканы
Не обесцвечивают!
Не окисляются!
(каталитическое
окисление бутана,
метана)

4.

Алкены
• Мягкое окисление –
(KMnO4 в нейтральной среде)
• Жесткое окисление –
(KMnO4 /K2Cr2O7 в кислой/щелочной)

5.

6.

7.

Mn+7
2H+1 + 2O-2 + C2H4
2H+1
+
2O-2
+ C3H6
2H+1 + 2O-2 + C9H10
+3 e
Mn+4
-2e
C2H6O2
-2e
C3H8O2
-2e
C9H12O2
| 2
|
|
| 3
|

8.

Mn+7
4O-2
+ C2H4
+5e
- 12 e
4O-2 + C3H6
Mn+7
4O-2 + C4H8
- 10 e
| 12
Mn+2
|
2CO2 + 4H+1 | 5
- 10 e
+5e
C2H4O2 + CO2 + 2H+1 | 1
Mn+2
C3H6O2 + CO2 + 2H+1
|
| 2

9.

4O-2
+ C8H8
3O-2
- 10 e
+ C4H8
Mn+7
C7H6O2 + CO2 + 2H+1
-8e
+5e
C3H6O + CO2 + 2H+1 | 5
Mn+2
|
| 8

10.

11.

4O-2 + C6H10
Mn+7
-8e
C6H10O4 | 5
+5e
Mn+2
|
| 8

12.

Алкины
• Мягкое окисление ацетилена –
(KMnO4 в нейтральной среде)
• Жесткое окисление –
(KMnO4 /K2Cr2O7 в кислой/щелочной)

13.

4O-2 + C2H2
Mn+7
4O-2 + C2H2
Mn+7
-8e
H2C2O4
+3e
- 10 e
+5e
Mn+4
| 3
|
| 8
2CO2 + 2H+1 | 1
Mn+2
|
| 2

14.

15.

Арены - бензол
Бензол устойчив к действию окислителей
(не обесцвечивает раствор КMnO4 и
бромную воду)

16.

Арены – гомологи
бензола
Окисляются в бензойную кислоту
(по α –атому углерода)

17.

2O-2 + C7H8
Mn+7
Mn+7
2O-2 + C7H8
-6e
+5e
+1e
-6e
С7Н6O2 + 2H+1 | 5
Mn+2
Mn+6
С7Н6O2 + 2H+1
|
| 6
| 6
|
| 1

18.

Mn+7
6O-2
+ C9H12
+5e
- 18 e
Mn+2
С7Н6O2 + 2СО2 + 6H+1
| 18
|
| 5

19.

20.

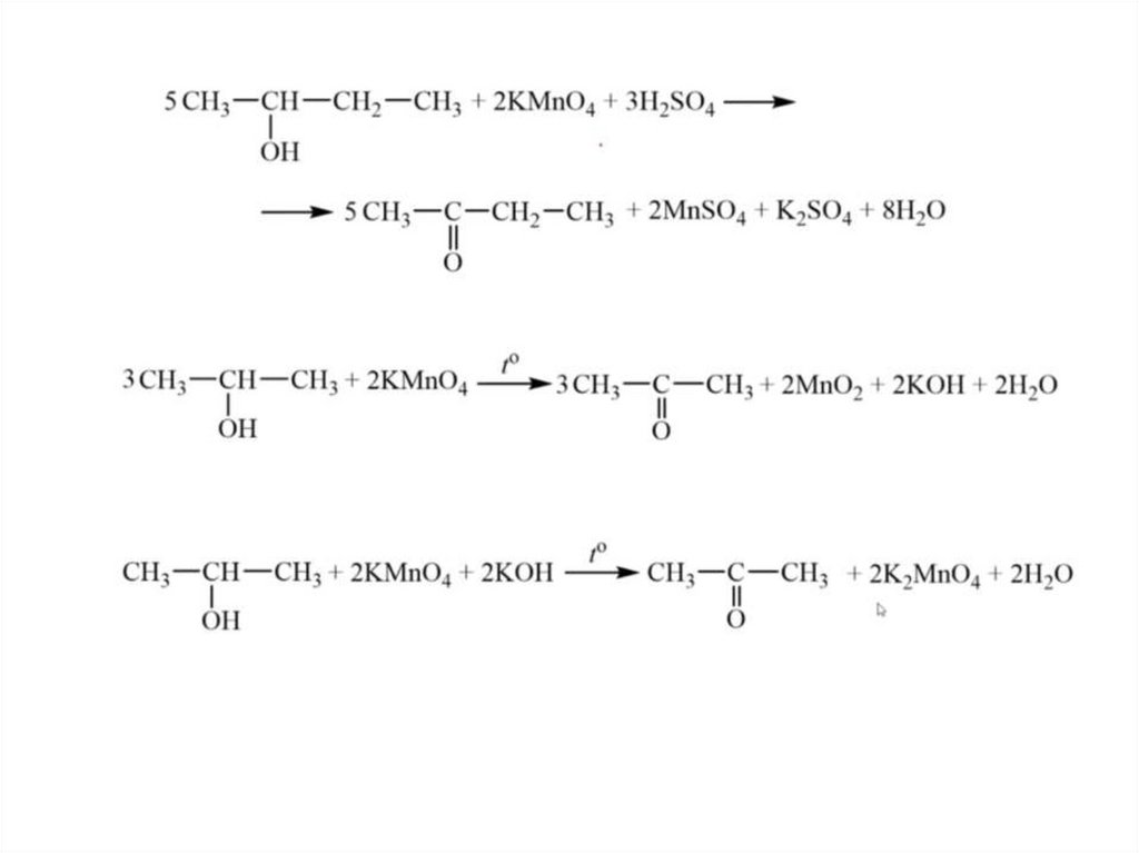
Спирты
Первичные окисляются до
альдегидов/карбоновых кислот
(СН3ОН – до СО2)
Вторичные – до кетонов
Третичные – не окисляются

21.

22.

23.

24.

Метанол окисляется до СО2
-6e
O-2 + CH4О
+3e
+7
Mn
СO2 + 4H+1 | 3 | 1
Mn+4
|
|
| 6 | 2

25.

26.

27.

28.

Альдегиды и кетоны
Окисляются до карбоновых кислот
(HСОН – до СО2)
Кетоны не окисляются

29.

30.

31.

32.

Формальдегид окисляется до СО2

33.

34.

O-2 + C2H4О
Ag+1
-2e
C2H4О2 | 1
+1e
Ag0
|
| 2

35.

Муравьиная кислота
Окисляется до углекислого газа
(HСООН – до СО2)
English     Русский Правила