3.23M
Категория:
Математика
Похожие презентации:
Сложная функция. Производная сложной функции
Производная сложной функции
Сложная функция. Производная сложной функции
Производная сложной функции
Производная сложной функции
Сложная функция. Производная сложной функции
Сложная функция. Производная сложной функции
Производная сложной функции
Производная сложной функции
Производная сложной функции
Производная сложной функции
1.
ПРОИЗВОДНАЯ
СЛОЖНОЙ ФУНКЦИИ
23.11.21
2.
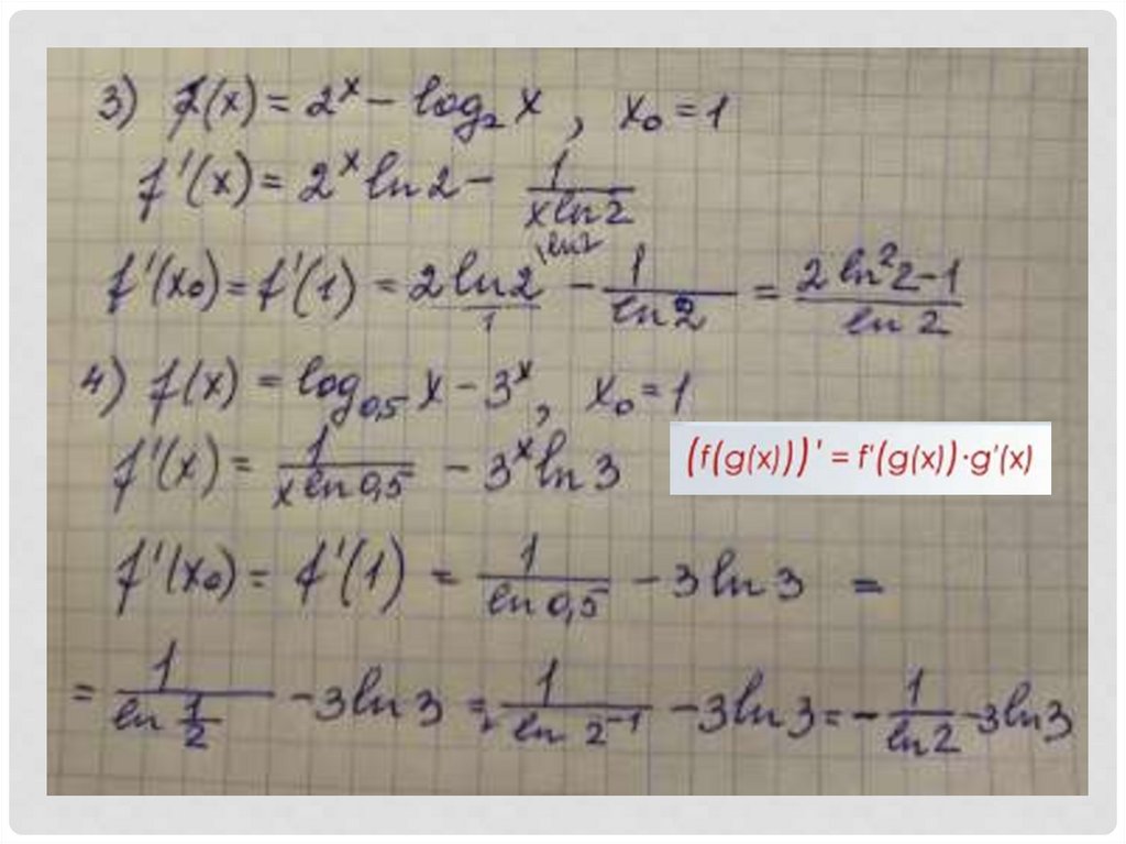
3.
4.
5.
6.
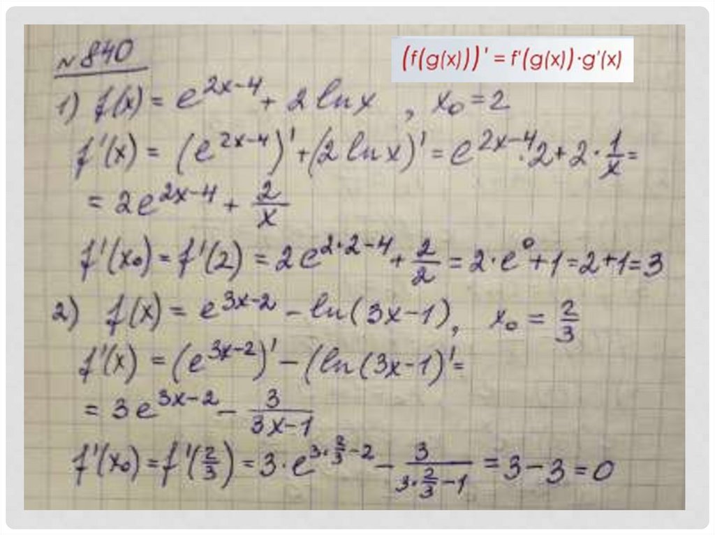
ДОМАШНЯЯ РАБОТА
№ 840, № 847
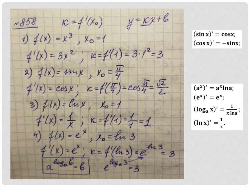
П 48 изучи, № 858
7.
ГЕОМЕТРИЧЕСКИЙ СМЫСЛ
ПРОИЗВОДНОЙ
24.11.21
8.
ПРОИЗВОДНЫЕ НЕКОТОРЫХ
ЭЛЕМЕНТАРНЫХ ФУНКЦИЙ
9.
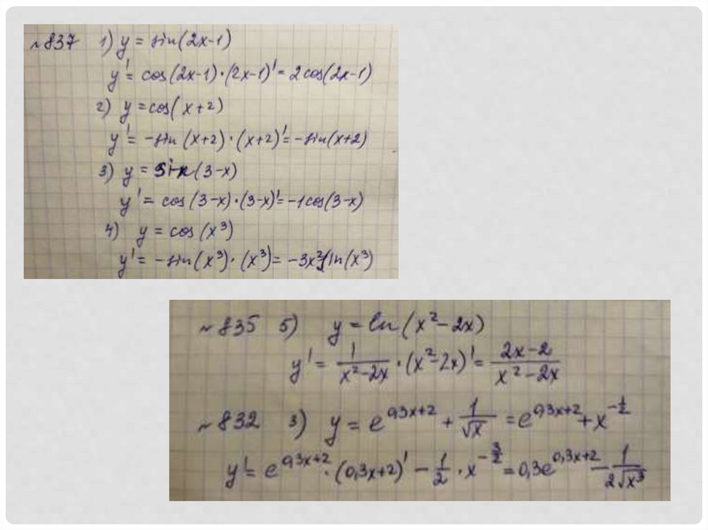
10.
11.
12.
13.
14.
15.
16.
17.
Ответ: 2
18.
Ответ: -0,25
19.
Ответ: -0,5
English
Русский
Правила