110.74K
Категория: МатематикаМатематика

Интегрирование дробно-рациональной функции. Метод неопределенных коэффициентов

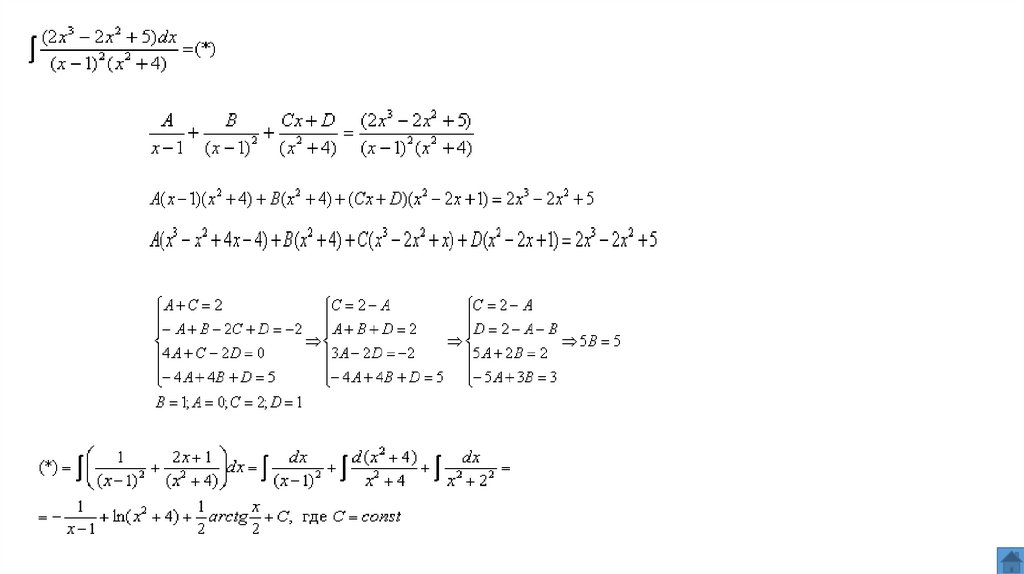
1.

Интегрирование дробно-рациональной функции.
Метод неопределенных коэффициентов
Интегрирование правильной дробно-рациональной функции

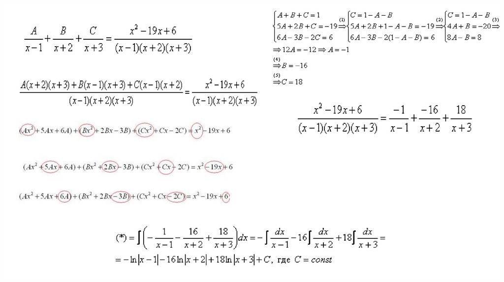
2.

3.

4.

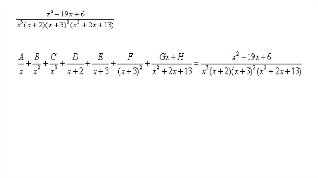
Самостоятельно:

5.

Интегрирование неправильной дробно-рациональной
функции
Делим числитель на знаменатель:

6.

Домашнее задание
English     Русский Правила