1.67M
Категория: МатематикаМатематика
Похожие презентации:

Вычисление производной степенной

1.

08.02.22.
Тема:
Вычисление производной степенной
функции.
Учащиеся должны освоить теоретическую часть,
прислать ответы на вопросы и решение задач,
содержащиеся в практической части.
Видео для усвоения материала:
https://youtu.be/muwAE0Fjlec
https://youtu.be/iBhF3CiRK6Y

2.

Теоретическая часть:
Прочитать и понять.
Выделенное жирным шрифтом – выучить.

3.

4.

5.

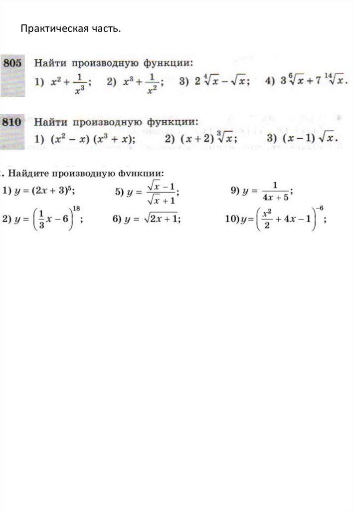
Практическая часть.
English     Русский Правила