2.78M
Категория:
Медицина
Похожие презентации:
Обмен белков и аминокислот
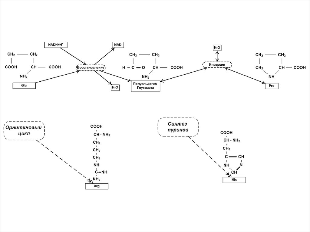
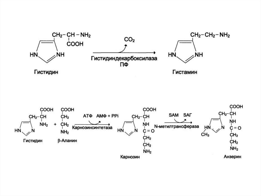
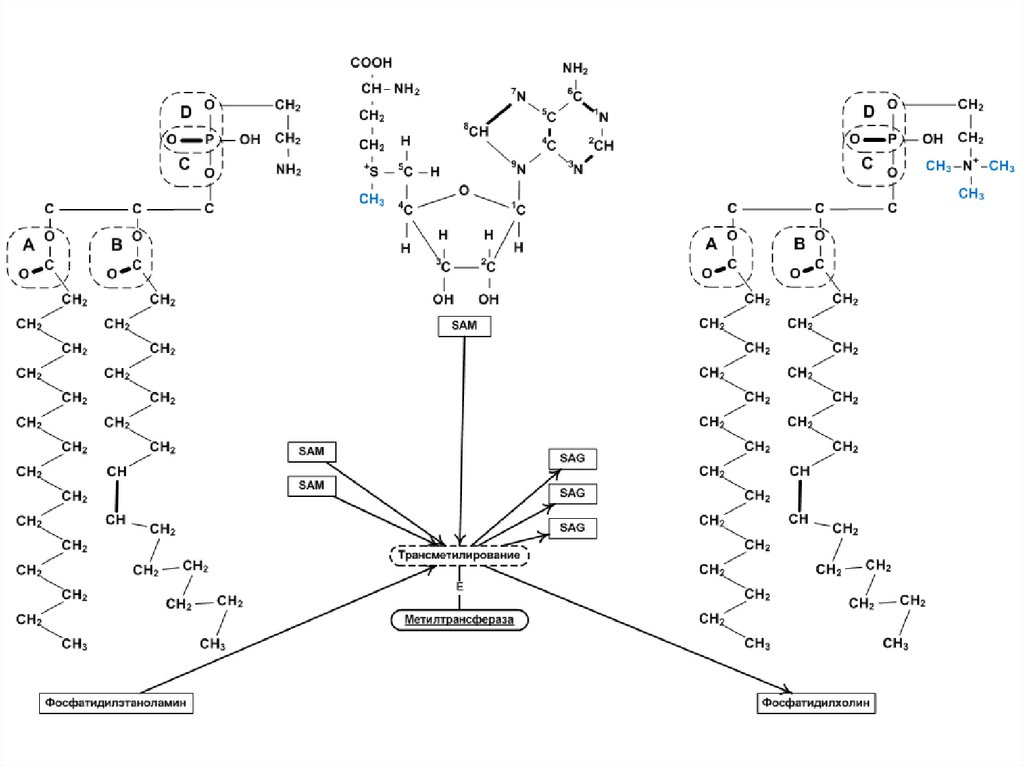
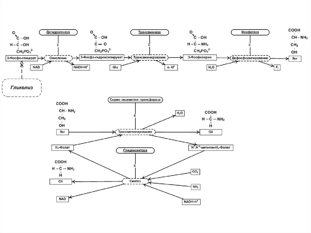
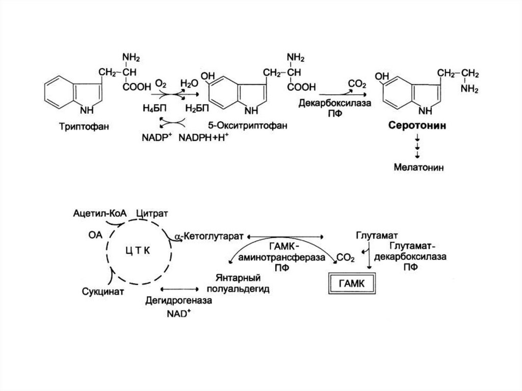
Обмен отдельных аминокислот
Обмен белков и аминокислот
Специфические пути обмена отдельных аминокислот
Нарушения обмена аминокислот у детей в критических состояниях
«Наследственные нарушения обмена аминокислот, сопровождающиеся повреждением нервной системы»
Обмен гема
Применение аминокислот в качестве лекарственных препаратов
Обмен веществ
Аминокислоты. Применение в медицине
Обмен аминокислот
1.
Обмен аминокислот
Доцент кафедры фармакологии,
клинической фармакологии
и биохимии
к.м.н. А. А. Григорьев
Чебоксары - 2019
English
Русский
Правила