1.38M
Категория: МатематикаМатематика

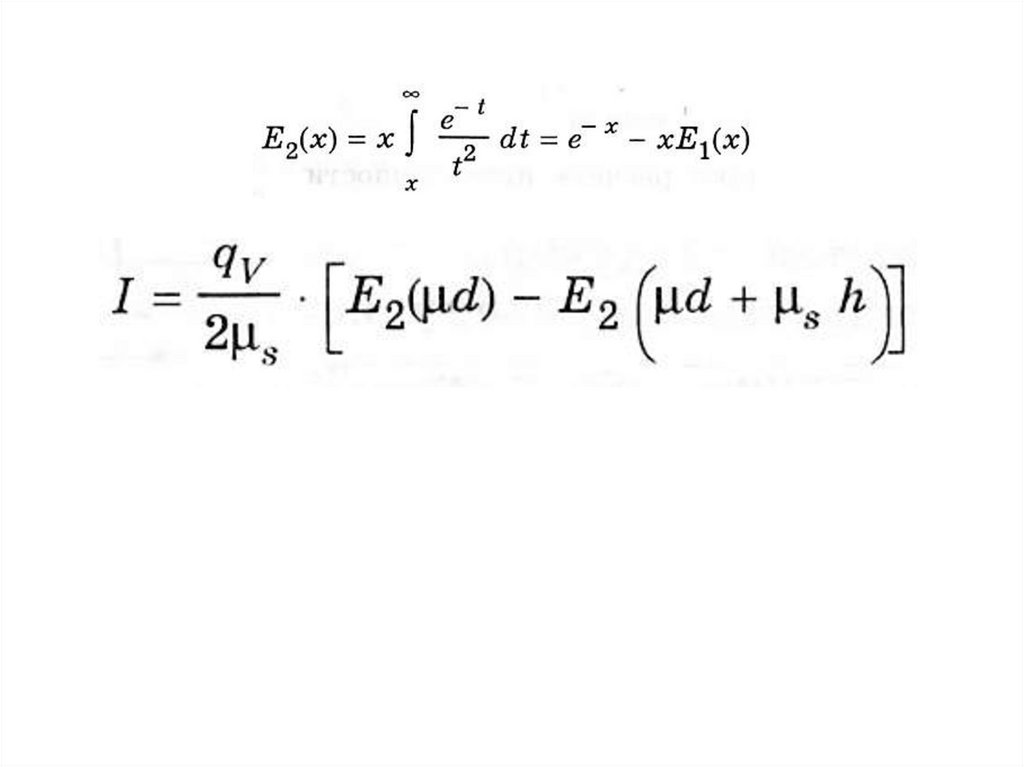
Интегральная показательная функция

1.

Интегральная показательная функция
t
e
En ( x) x n 1 n dt
t
x
1 рода:
e t
E1 ( x) dt
t
x
2 рода:
e t
E2 ( x) x 2 dt e x xE1 ( x)
t
x
3 рода:
t
e
1
E3 ( x) x 2 3 dt e x xE2 ( x)
t
2
x
1
e x xEn 1 ( x)
En ( x)
n 1
E1 (0) ;......E2 (0) 1;......E3 (0) 0,5 E1 ( ) E2 ( ) E3 ( ) 0

2.

Интегральный секанс или функция (интеграл) Зиверта
F ( ; x) exp( x sec ' )d '
0
t
F1 (t ; a) exp( ax) E1 ( x)dx
0
English     Русский Правила